Introduction
HydDown is an open source python3 tool for calculation of hydrogen (or other pure component) vessel/container depressurization and filling. The HydDown logo shown in Figure 1 visualizes the key parameters and transport phenomena during gas vessel filling or discharging. The thermodynamic state inside the vessel changes over time as seen from immediately observable variables temperature (T) and pressure (P). This is caused by change in fluid inventory (density) due to flow of gas either in or out of the vessel. Further, heat is transferred from or to the surroundings via convective heat transfer on the in- and outside of the vessel with heat being conducted through the vessel wall.
Figure 1 HydDown logo
Running the code is as simple as:
python main.py input.yml
where main.py is the main script and input.yml is the input file in Yaml syntax.
Citing HydDown
If you use HydDown please cite the following reference [And21]:
Andreasen, A., (2021). HydDown: A Python package for calculation of hydrogen (or other gas) pressure vessel filling and discharge. Journal of Open Source Software, 6(66), 3695, https://doi.org/10.21105/joss.03695
@article{Andreasen2021,
doi = {10.21105/joss.03695},
url = {https://doi.org/10.21105/joss.03695},
year = {2021},
publisher = {The Open Journal},
volume = {6},
number = {66},
pages = {3695},
author = {Anders Andreasen},
title = {HydDown: A Python package for calculation of hydrogen (or other gas) pressure vessel filling and discharge},
journal = {Journal of Open Source Software}
}
This manual can be cited as [And24]:
Anders Andreasen. HydDown - User guide and technical reference. 2024. ⟨hal-04858235⟩
@report{Andreasen2024,
url = {https://hal.science/hal-04858235},
year = {2024},
publisher = {HAL open science},
author = {Anders Andreasen},
title = {HydDown -- user guide and technical reference},
}
Background
HydDown started as a small spare-time project for calculation of vessel filling and depressurization behaviour. This was mainly to demonstrate that although perceived as a very tedious and difficult task to write your own code for such an apparently complex problem, actually only a fairly limited amount of code is necessary if you have a good thermodynamic backend. The code has evolved to a point where additional features will increase the complexity to the point where it is no longer a simple tool.
A few choices has been made to keep things simple:
Coolprop is used as thermodynamic backend
Only pure substances are considered (limited multi-component capabilities are included)
No temperature stratification in the gas phase
A default of of no temperature gradient through vessel wall.
Heat transfer is modelled as constant or simplified using empirical correlations
These choices make the problem much simpler to solve:
First of all, the the pure substance Helmholtz energy based equation of state (HEOS) in coolprop offers a lot of convenience in terms of the property pairs/state variables that can be set independently.
Using only a single gas phase species also means that component balances is redundant and 2 or 3-phase flash calculations are not required.
That being said, the principle used for a single component is more or less the same, even for multicomponent mixtures with potentially more than one phase.
In the latest revision 1-D transient heat conduction through the vessel wall is now an option if required for low thermal conductivity materials and e.g. type III/IV vessels. The 1-D heat transfer model is fully integrated with fire heat load calculations (Stefan-Boltzmann method) and two-phase flow scenarios. Rigorous two-phase single component calculations are supported implementing an equilibrium assumption i.e. gas and liquid phase are in thermal equilibrium, although the vessel wall in contact with gas and liquid, respectively, is allowed to differ in temperature. For two-phase systems, the 1-D model solves separate heat conduction problems for the wetted (liquid-contact) and unwetted (gas-contact) wall regions.
In case multi-component two-phase behaviour is required, the HydDown sibling ORS openthermo is recommended. This software package also implements a partial/non-equilibrium assumption for the gas and liquid phase [AS25].
@article{https://doi.org/10.1002/prs.70035,
author = {Andreasen, Anders and Stegelmann, Carsten},
title = {Open source pressure vessel blowdown modeling under partial phase equilibrium},
journal = {Process Safety Progress},
doi = {https://doi.org/10.1002/prs.70035},
}
A preprint of the paper is also available.
Getting the software
The source code can be obtained either from GitHub (via git or via the latest tar-ball release) or via pip . No packaged releases have currently been planned for conda.
The main branch is located here:
https://github.com/andr1976/HydDown
Clone the repo by:
git clone https://github.com/andr1976/HydDown.git
Running from source via git the dependencies must be installed manually from the repo root dir:
pip install -r requirements.txt
Installation of latest release via pip also installs dependencies automatically:
pip install hyddown
In case pip links to a v2.7 of python you will get an error. If so try the following:
python3 -m pip install hyddown
where python3 is the symlink or full path to the python3 executable installed on your system.
Requirements
Python (Check CoolProp for latest supported python version)
The script is running on Windows 10 x64, with stock python installation from python.org and packages installed using pip. It should also run on Linux (it does on an Ubuntu image on GitHub) or in any conda environment as well, but this hasn’t been checked.
Testing
Although testing is mainly intended for automated testing (CI) during development using github actions, testing of the installed package can be done for source install by:
python -m pytest
run from the root folder. In writing 33+ test should pass.
For the package installed with pip navigate to the install directory ../site-packages/hyddown and run:
python -m pytest
Units of measure
The SI unit system is adapted for this project. The following common units are used in the present project and this also applies to the units used in the input files:
Property |
Unit |
Comment |
|---|---|---|
Temperature |
K |
\(^\circ\) C is used in plots |
Pressure |
Pa |
bar is used in plots |
Mass |
kg |
|
Volume |
m\(^3\) |
|
Time |
s |
|
Energy |
J |
|
Duty/power |
W |
|
Length |
m |
|
Area |
m\(^2\) |
|
Heat flux |
W/m\(^2\) |
|
Heat transfer coefficient |
W/(m\(^2\) K) |
|
Thermal conductivity |
W/(m K) |
|
Density |
kg/m\(^3\) |
|
Heat capacity |
J/(kg K) |
As will be noted when presenting the equations implemented in the code, some of the equations utilise different units than the ones listed in the table. However, it is important to note that unit conversions are built in to the methods implemented, so the user shall not worry about unit conversion.
Credit
In the making of this document a great deal of material has been sourced (and modified) from a good colleague’s M.Sc. thesis [EB15], from co-published papers [ABZN+18, BEA+17]and from on-line material published under permissive licenses (with proper citation). Further, the making of this project would not have possible without the awesome CoolProp library [BWQL14]. I am also thankful for enlightening discussions with colleague Jacob Gram Iskov Eriksen (Ramboll Energy, Denmark) and former Ramboll Energy colleague Carsten Stegelmann (ORS Consulting) in relation to vessel depressurization, nozzle flow and heat transfer considerations.
The present document is typeset using Markdown + pandoc with the Eisvogel template.
License
MIT License
Copyright (c) 2021-2025 Anders Andreasen
Permission is hereby granted, free of charge, to any person obtaining a copy of this software and associated documentation files (the “Software”), to deal in the Software without restriction, including without limitation the rights to use, copy, modify, merge, publish, distribute, sublicense, and/or sell copies of the Software, and to permit persons to whom the Software is furnished to do so, subject to the following conditions:
The above copyright notice and this permission notice shall be included in all copies or substantial portions of the Software.
THE SOFTWARE IS PROVIDED “AS IS”, WITHOUT WARRANTY OF ANY KIND, EXPRESS OR IMPLIED, INCLUDING BUT NOT LIMITED TO THE WARRANTIES OF MERCHANTABILITY, FITNESS FOR A PARTICULAR PURPOSE AND NONINFRINGEMENT. IN NO EVENT SHALL THE AUTHORS OR COPYRIGHT HOLDERS BE LIABLE FOR ANY CLAIM, DAMAGES OR OTHER LIABILITY, WHETHER IN AN ACTION OF CONTRACT, TORT OR OTHERWISE, ARISING FROM, OUT OF OR IN CONNECTION WITH THE SOFTWARE OR THE USE OR OTHER DEALINGS IN THE SOFTWARE.
Usage
Basic usage
From the source repository, running the code is as simple as:
python src/main.py input.yml
where main.py is the main script and input.yml is the input file in Yaml syntax.
The Yaml input file is edited to reflect the system of interest.
Further, a usable copy of a main script is installed in the python installation Scripts/ folder:
/python3x/Scripts/hyddown_main.py
or from GitHub/in the source folder:
HydDown/Scripts/hyddown_main.py
Various example files are included for inspiration under site-packages:
/site-packages/hyddown/examples/
or in the git/source directory tree
HydDown/src/hyddown/examples/
Demos
A few demonstrations of the codes capability are available as streamlit apps:
Vessel gas pressurisation/depressurization for various gases at
https://share.streamlit.io/andr1976/hyddown/main/scripts/streamlit_app.pyResponse to external fire of vessel equipped with a PSV using the Stefan-Boltzmann fire equation at
https://share.streamlit.io/andr1976/hyddown/main/scripts/streamlit_sbapp.pyVessel depressurization including slow opening of valve at
https://share.streamlit.io/andr1976/hyddown/main/scripts/streamlit_cvapp.py
The various streamlit apps are also included in the scripts folder for running the scripts on a local machine.
Calculation methods
The following methods are implemented:
Isothermal: constant temperature of the fluid during depressurization (for a very slow process with a large heat reservoir)
Isenthalpic: constant enthalpy of the fluid, no heat transfer with surroundings, no work performed by the expanding fluid for depressurization, no work added from inlet stream
Isentropic: constant entropy of the fluid, no heat transfer with surroundings, PV work performed by the expanding fluid
Isenergetic: constant internal energy of the fluid
Energy balance: this is the most general case and is based on the first law of thermodynamics applied to a flow process.
Relief: Relief valve dimensioning for gas filled vessels subject to fire. This method provides a dynamic approach to relief valve dimensioning providing realistic orifice size, compared to the very conservative API521 approach.
For isothermal/isenthalpic/isentropic/isenergetic calculations the minimal input required are:
Initial conditions (pressure, temperature)
vessel dimensions (ID, length)
valve parameters (Cd, diameter, back-pressure)
Calculation setup (time step, end time)
Type of gas
If heat transfer is to be considered the calculation type energybalance is required. A few options are possible:
Fixed U: U-value, i.e. overall heat transfer coefficient, is required and ambient temperature required. Based on the ambient (external) temperature, the fluid temperature, and the U-value, the heat flux Q is calculated for each time step. In this calculation method the temperature of the vessel wall is not calculated:
Fixed Q: The external heat flux, Q, applied to the fluid is specified and constant. The ambient temperature is not required. Further, the vessel wall temperature is redundant and not calculated.
Specified h: The external heat transfer coefficient must be specified and either the internal heat transfer coefficient is provided or calculated from the assumption of natural convection from a vertical cylinder at high Gr number. Ambient temperature is required. Using this method the wall temperature is calculated from an energy balance over the vessel wall taking in and out flux to/from the external ambient plenum as well as heat flux to/from the fluid inventory into account.
Fire: The Stefan-Boltzmann equation is applied for estimating the external heat duty. The fire heat flux depends on the vessel wall temperature, and the wall temperature is continuously updated as in the method with specified h.
More elaborate description of the required input for the different calculation types are provided in Input fields and hierarchy.
Script
HydDown comes with a script which can be used as a command-line tool to start calculations.
If an input filename (path) is given as the first argument, this input file will be used.
If no arguments are passed, the script will look for an input file with the name input.yml.
The content of the main script is shown below:
import yaml
import sys
from hyddown import HydDown
if __name__ == "__main__":
if len(sys.argv) > 1:
input_filename = sys.argv[1]
else:
input_filename = "input.yml"
with open(input_filename) as infile:
input = yaml.load(infile, Loader=yaml.FullLoader)
hdown=HydDown(input)
hdown.run()
hdown.verbose=1
hdown.plot()
Module import
To use HydDown simple import the main calculation class HydDown.
from hyddown import HydDown
Input file examples
When using HydDown a dictionary holding all relevant input in order for HydDown to do vessel calculations shall be provided when the class is initialized. One way is to read an input file. For HydDown a Yaml format is chosen, but if JSON is a preference this should also work with the Yaml parser being substituted with a JSON parser.
An example of a minimal file for an isentropic vessel depressurization (no heat transfer) is shown below
vessel:
length: 1.524
diameter: 0.273
initial:
temperature: 388.0
pressure: 15000000.
fluid: "N2"
calculation:
type: "isentropic"
time_step: 0.05
end_time: 100.
valve:
flow: "discharge"
type: "orifice"
diameter: 0.00635
discharge_coef: 0.8
back_pressure: 101300.
A more elaborate example which includes heat transfer and with validation data (some data points dropped for simplicity) included:
vessel:
length: 1.524
diameter: 0.273
thickness: 0.025
heat_capacity: 500
density: 7800.
orientation: "vertical"
initial:
temperature: 288.0
pressure: 15000000.
fluid: "N2"
calculation:
type: "energybalance"
time_step: 0.05
end_time: 100.
valve:
flow: "discharge"
type: "orifice"
diameter: 0.00635
discharge_coef: 0.8
back_pressure: 101300.
heat_transfer:
type: "specified_h"
temp_ambient: 288.
h_outer: 5
h_inner: 'calc'
validation:
temperature:
gas_high:
time: [0.050285, ... , 99.994]
temp: [288.93, ... ,241.29]
gas_low:
time: [0.32393, ..., 100.11]
temp: [288.67, ... ,215.28]
wall_low:
time: [0.32276, ... , 100.08]
temp: [288.93, ... ,281.72]
wall_high:
time: [0.049115, ... ,100.06]
temp: [289.18, ... ,286.09]
pressure:
time: [0.28869, ... , 98.367]
pres: [150.02, ... ,1.7204]
Input fields and hierarchy
In the following the full hierarchy of input for the different calculation types is summarised.
At the top level the following fields are accepted, with the last being optional and the second last dependant on calculation type:
initial: mandatory
vessel: mandatory
calculation: mandatory
valve: mandatory
heat_transfer: depends on calculation type
validation: optional
Calculation
The subfields under calculation, with value formats and options are:
calculation:
type: "isothermal", "isentropic", "isenthalpic", "constantU", "energybalance"
time_step: number
end_time: number
The simulation end time is specified as well as the fixed time step used in the integration of the differential equations to be solved. The four main calculation types are shown as well.
Vessel
vessel:
length: number, mandatory
diameter: number, mandatory
thickness: number, required when heat transfer is calculated
heat_capacity: number, required when heat transfer is calculated
density: number, required when heat transfer is calculated
thermal_conductivity: number, required for 1-D transient heat transfer
thermal_conductivity_biot: number, optional for Biot number calculation in lumped models
liner_thickness: number, required only for bi-material 1-D transient heat transfer
liner_heat_capacity: number, required only for bi-material 1-D transient heat transfer
liner_density: number, required only for bi-material 1-D transient heat transfer
liner_thermal_conductivity: number, required only for bi-material 1-D transient heat transfer
orientation: string, required when heat transfer is calculated
liquid_level: number, optional for two-phase
type: string, optional for heads other than Flat-end, "DIN", "ASME F&D", or "Hemispherical"
Initial
initial:
temperature: number, mandatory
pressure: number, mandatory
fluid: string, mandatory , e.g. "N2", "H2"
Valve
The valve field determines the mode of the process is it for depressurization/discharge from the vessel using the value discharge or if mass flow is entering the vessel, filling it up/increasing pressure with the value filling.
Different types of mass flow devices can be specified:
Restriction
orificePressure safety valve
psv(only fordischargenotfilling)Simplified relief valve
relief(only fordischargenotfilling)Control valve
controlvalveA specified mass flow
mdotHomogeneous equilibrium model release
hem_release
For the physical devices a back_pressure is required for the flow calculations.
The value of the back_pressure is also used to specify the reservoir pressure when the vessel is filled.
See also Flow devices for details about the calculation of flow rates.
valve:
flow: string, mandatory "discharge" or "filling"
type: string, mandatory "orifice", "controlvalve", "psv", "relief", "mdot", "hem_release"
back_pressure: number, required for type "orifice", "controlvalve", "psv", "relief"
diameter: number, required for "orifice" and "psv"
discharge_coef: number, required for "orifice" and "psv"
Cv: number, required for "controlvalve"
characteristic: string, optional for "controlvalve"
time_constant: number, optional for "controlvalve"
For the calculations using a control valve as mass transfer device a linear rate for the actuator can be specified using the time_constant field. An associated valve characteristic is associated in order to translate the linear actuator rate to an opening Cv (of max. Cv). Three caracteristics can be specified:
Linear
Equal percentage (exponential)
Quick opening/fast (square root)
Heat transfer
For more information about the actual estimation of heat transfer see also Heat transfer. For the case of fire heat input predetermined parameters for the Stefan-Boltzmann fire equation are used to calculate different background heat loads cf. the table below
Source |
Fire type |
Heat load (\(kW/m^2\)) |
|---|---|---|
API521 |
Pool |
60 |
API521 |
Jet |
100 |
Scandpower |
Pool |
100 |
Scandpower |
Jet |
100 |
heat_transfer:
type: string, mandatory, "specified_h", "specified_Q", "specified_U", "s-b"
temp_ambient: number, required for type "specified_h", "specified_U"
h_outer: number, required for type "specified_h"
h_inner: number or 'calc', required for type "specified_h"
U_fix: number, required for type "specified_U"
Q_fix: number, required for type "specified_Q"
fire: string, required for type "s-b", 'api_pool','api_jet','scandpower_pool','scandpower_jet'
D_thoat: number, required for flow type "filling", set to vessel ID as a starting point
scaling: number between 0 and 1, optional, scales total heat load
Validation
In order to plot measured data against simulated data the field validation is included.
The following arrays (one or more) are supported in the sub-field temperature:
gas_high: highest measured values of the bulk gasgas_low: lowest measured values of the bulk gasgas_mean: average measured values of the bulk gaswall_mean: average measured values of the vessel (inner) wallwall_highi.e. highest measured values of the vessel (inner) wallwall_lowi.e. lowest measured values of the vessel (inner) wallwall_outeri.e. external measured values of the vessel (outer) wallwall_inneri.e. internal measured values of the vessel (inner) wall
For each of the above fields arrays for timeand tempshall be supplied with matching length.
A field for measured vessel pressure is also possible, where timeand pres shall be identical length arrays. See also example below.
validation:
temperature:
gas_high:
time: [0.050285, ... , 99.994]
temp: [288.93, ... ,241.29]
gas_low:
time: [0.32393, ..., 100.11]
temp: [288.67, ... ,215.28]
wall_low:
time: [0.32276, ... , 100.08]
temp: [288.93, ... ,281.72]
wall_high:
time: [0.049115, ... ,100.06]
temp: [289.18, ... ,286.09]
pressure:
time: [0.28869, ... , 98.367]
pres: [150.02, ... ,1.7204]
Theory
In this chapter the basic theory and governing equations for the model implementation in HydDown is presented. The following main topics are covered:
thermodynamics
mass transfer
heat transfer
Thermodynamics
Equation of state
The equation of state used by HydDown is the Helmholtz energy formulation as implemented in CoolProp [BWQL14]. Most of the text in the present section has been sourced from the CoolProp documentation to be as accurate and true to the source as possible. The Helmholtz energy formulation is a convenient construction of the equation of state because all the thermodynamic properties of interest can be obtained directly from partial derivatives of the Helmholtz energy.
It should be noted that the EOS are typically valid over the entire range of the fluid, from subcooled liquid to superheated vapor, to supercritical fluid. In general, the EOS are based on non-dimensional terms \(\delta\) and \(\tau\), where these terms are defined by
where \(\rho_c\) and \(T_c\) are the critical density of the fluid if it is a pure fluid. For pseudo-pure mixtures, the critical point is typically not used as the reducing state point, and often the maximum condensing temperature on the saturation curve is used instead.
The non-dimensional Helmholtz energy of the fluid is given by
where \(\alpha^0\) is the ideal-gas contribution to the Helmholtz energy, and \(\alpha^r\) is the residual Helmholtz energy contribution which accounts for non-ideal behavior. For a given set of \(\delta\) and \(\tau\), each of the terms \(\alpha^0\) and \(\alpha^r\) are known. The exact form of the Helmholtz energy terms is fluid dependent, but a relatively simple example is that of Nitrogen, which has the ideal-gas Helmholtz energy of
and the non-dimensional residual Helmholtz energy of
and all the terms other than \(\delta\) and \(\tau\) are fluid-dependent correlation parameters.
The other thermodynamic parameters can then be obtained through analytic derivatives of the Helmholtz energy terms. For instance, the pressure is given by
and the specific internal energy by
and the specific enthalpy by
which can also be written as
The specific entropy is given by
and the specific heats at constant volume and constant pressure respectively are given by
The EOS is set up with temperature and density as the two independent properties, but often other inputs are known, most often temperature and pressure because they can be directly measured. As a result, if the density is desired for a known temperature and pressure, it can be obtained iteratively.
First law for flow process
The control volume sketched in Figure 2, separated from the surrounding by a control surface, is used as a basis for the analysis of an open thermodynamic system with flowing streams (fs) in and out, according to [SVNA96]
A general mass balance or continuity equation can be written:
Figure 2 Control volume with one entrance and one exit. The image has been sourced from [Wik08].
The first term is the accumulation term i.e. the rate of change of the mass inside the control volume, \(m_cv\), and the \(\Delta\) in the second term represents the difference between the outflow and the inflow
An energy balance for the control volume, with the first law of thermodynamics applied, needs to account for all the energy modes with can cross the control surface. Each stream has a total energy
where the first term is the specific internal energy, the second term is the kinetic energy and the last term is the potential energy. The rate at which each stream transports energy in or out of the control volume is given by
and in total
Furthermore, work (not to be confused with shaft work) is also associated with each stream in order to move the stream into or out from the control volume (one can think of a hypothetical piston pushing the fluid at constant pressure), and the work is equal to \(PV\) on the basis of the specific fluid volume. The work rate for each stream is
and in total
Further, heat may be transferred to (or from) the control volume at a rate \(\dot{Q}\) and shaft work may be applied, \(\dot{W}_{shaft}\). Combining all this with the accumulation term given by the change in total internal energy the following general energy balance can be written:
Applying the relation \(H = U + PV\), setting \(\dot{W}_{shaft} = 0\) since no shaft work is applied to or extracted from the vessel, and assuming that kinetic and potential energy changes can be omitted the energy balance simplifies to:
The equation can be further simplified if only a single port acting as either inlet or outlet is present:
where the sign of \(\dot{m}\) determines if the control volume is either emptied or filled. The continuity equation (1) and the energy balance (2) combined with the equation of state are the key equations that shall be solved/integrated in order to calculate the change in temperature and pressure as a function of time.
Flow devices
Restriction Orifice
When a fluid flows through a restriction or opening such as an orifice, the velocity will be affected by conditions upstream and downstream. If the upstream pressure is high enough, relative to the downstream pressure, the velocity will reach the speed of sound (Ma = 1) and the flow rate obtained will be the critical flow rate. This condition is referred to as choked flow. The maximum downstream pressure for the flow to still be sonic (Ma = 1), is when \(P_d = P_c\). The ratio of the critical and upstream pressure is defined by equation (3).
\(P_c\) is the critical pressure. [kPa]
\(P_d\) is the downstream pressure. [kPa]
\(P_u\) is the upstream pressure. [kPa]
k is the isentropic coefficient, approximated by the ideal gas heat capacity ratio \(C_p/C_v\). [-]
In order to calculate the mass flow rate through an orifice equations are used based on literature from the Committee for the Prevention of Disasters [vdBW05].
To account for the difference in choked and non-choked flow a set limit pressure is introduced as in equation (4). If the downstream pressure, \(P_{down}\), is below the pressure limit, \( P_{limit}\), then the flow is choked, and the pressure used, \(P_{used}\), in equation (5) should be the pressure limit, \(P_{limit}\). Otherwise if the downstream pressure, \(P_{down}\), is greater than or equal to the pressure limit, \(P_{limit}\), the flow is no longer choked and the pressure used should be the downstream pressure, \(P_{down}\) [vdBW05].
\(\rho\) is the density of the gas upstream. \([kg/m^3]\)
\(P_{limit}\) is the pressure limit of the upstream absolute pressure. \([bara]\)
\(P_{up}\) is the absolute pressure upstream of the orifice. \([bara]\)
\(k\) is the ratio of the heat capacities at constant pressure, \(C_p\), and at constant volume, \(C_v\).
\(P_{down}\) is the absolute pressure downstream of the orifice. \([bara]\)
\(P_{used}\) is the pressure used in the mass flow equation based on choked or non-choked conditions. \([bara]\)
\(\dot{m}_{flow}\) is the mass flow through the orifice. \([kg/s]\)
\(C_d\) is the discharge coefficient of the orifice opening. \([-]\)
\(A\) is the cross sectional area of the orifice. \([m^2]\)
HEM orifice release
The HEM (homogeneous equilibrium model) assumption is based on the general steady-flow energy balance for isentropic nozzle flow. The fundamental assumption is that thermal and mechanical equilibrium exist between phases as the fluid passes through the release orifice.
Starting from the steady-flow energy balance (neglecting potential energy and friction):
where:
\(h_0\) = upstream stagnation enthalpy
\(h_1\) = fluid enthalpy at reduced pressure
\(v\) = fluid velocity
Rearranging for velocity:
The mass flux (mass flow per unit area) is:
where \(\rho\) is the fluid density at the reduced pressure conditions.
For an isentropic expansion from upstream pressure \(P_0\) to various downstream pressures, the maximum mass flux occurs either at:
The critical flow pressure (choked flow)
The backpressure (unchoked flow)
This can be expressed as:
where the integral is evaluated along an isentropic path, and \(v\) is the specific volume.
Pressure safety valve / Relief valve
A PSV / relief valve is a mechanical device actuated by the static pressure in the vessel and a conventional PSV is often used for gas/vapor systems. A conventional PSV is a spring-loaded device which will activate at a predetermined opening pressure, and relieve the vessel pressure until a given reseat pressure has been reached. Both the opening pressure and the reset pressure is above the vessel operating pressure and the PSV will remain closed until the pressure inside the vessel increases to the opening pressure. The operation of a conventional spring-loaded PSV is based on a force balance. A conventional PSV can be seen in Figure 3. A spring exerts a force on a disc blocking the inlet of the PSV. When the pressure inside the vessels reaches the opening pressure, the force exerted on the disc by the gas will be larger than the force exerted by the spring and the PSV will open and allow the gas to flow out of the vessel. The flow of gas out of the vessels will lower the pressure and thereby also the force exerted on the disc. When the pressure in the vessels is reduced to the reset pressure, the PSV will close and the disc will again hinder the gas flow.
Figure 3 Conventional/pop action PSV adapted from [EB15] and [API14a]
The relief valve model implemented in HydDown is the API 520 equations [API14a] for gas relief for both sonic/critical as well as subcritical flow. No corrections factors are implemented in HydDown.
For sonic flow (critical flow), as indicated in equation, the mass flow through the PSV can be determined by equation (6).
A is the effective discharge area. [mm\(^2\)]
W is the mass flow through the device. [kg/h]
C is a coefficient, as a function of k, as defined in equation (7).
\(K_d\), \(K_b\), and \(K_c\) are correction factors.
\(P_1\) is the allowable upstream absolute pressure. [kPa]
T is the temperature of the inlet gas at relieving conditions. [K]
M is the molecular mass of the gas at relieving conditions. [kg/kmol]
Z is the compressibility factor for the gas.
\(K_d\) is the effective coefficient of discharge, with a typical value of 0.975, for an installed PSV. \(K_b\) is a back-pressure correction factor between 0 and 1, assumed to be 1. \(K_c\) is a correction factor used when a rupture disk is installed upstream, otherwise it is 1. In the present implementation a value of 1 is assumed.
For subsonic flow (subcritical flow), the effective discharge area of the PSV is determined by equation (8).
F\(_2\) is the coefficient of subcritical flow which can be determined from (9).
where \(r\) is the ratio of backpressure to upstream relieving pressure, \(P_2 / P_1\).
When modelling a pop action PSV/relief valve under dynamic conditions, the valve will go from closed to fully open in a short period of time when the set pressure, \(P_{set}\), is reached. The pop action is illustrated in Figure 4 which shows the opening and closing hysteresis of the PSV as a function of pressure. In order to close the pressure shall be reduced below the reseat pressure.
When specifying PSVs it common to use standard API sizes as shown in the table
Size |
Area [in\(^2\)] |
Area [m\(^2\)] |
|---|---|---|
D |
0.110 |
7.09676 \(\cdot\) 10\(^{-5}\) |
E |
0.196 |
1.26451 \(\cdot\) 10\(^{-4}\) |
F |
0.307 |
1.98064 \(\cdot\) 10\(^{-4}\) |
G |
0.503 |
3.24515 \(\cdot\) 10\(^{-4}\) |
H |
0.785 |
5.06450 \(\cdot\) 10\(^{-4}\) |
J |
1.287 |
8.30320 \(\cdot\) 10\(^{-4}\) |
K |
1.838 |
1.18580 \(\cdot\) 10\(^{-3}\) |
L |
2.853 |
1.84064 \(\cdot\) 10\(^{-3}\) |
M |
3.600 |
2.32257 \(\cdot\) 10\(^{-3}\) |
N |
4.340 |
2.79999 \(\cdot\) 10\(^{-3}\) |
P |
6.380 |
4.11612 \(\cdot\) 10\(^{-3}\) |
Q |
11.050 |
7.12901 \(\cdot\) 10\(^{-3}\) |
R |
16.000 |
1.03225 \(\cdot\) 10\(^{-2}\) |
T |
26.000 |
1.67741 \(\cdot\) 10\(^{-2}\) |
Control Valve
For calculating the mass flow through a control valve, the ANSI/ISA [Bor98, ISA95]methodology also described in IEC 60534 [IEC11] is applied.
The flow model for a compressible fluid in the turbulent regime is:
or equivalently:
C is the flow coefficient (\(C_v\) or \(K_v\))
\(N_8\) is a unit specific constant, 94.8 for \(C_v\) and bar as pressure unit
\(F_P\) is a piping geometry factor [-]
Y is the expansion factor [-]
\(x_{sizing}\) is is the pressure drop used for sizing[-]
\(p_1\) is the upstream pressure [bar]
\(\rho_1\) is the upstream density [kg/m\(^3\)]
M is the molecular weight [kg/kmol]
\(T_1\) is the upstream temperature [K]
\(Z_1\) is the upstream compressibility [-]
In HydDown, the piping geometry factor is not yet implemented and assumed to be 1. The pressure drop ratio \(x_{sizing}\) used for sizing is determined as the lesser of the actual pressure drop ratio, \(x\), and the choked pressure drop ratio \(x_{choked}\). The actual pressure drop ratio is given by:
The pressure drop ratio at which flow no longer increases with increased value in pressure drop ratio is the choked pressure drop ratio, given by the following equation:
The factor \(x_T\) is based on air near atmospheric pressure as the flowing fluid with a specific heat ratio of 1.40. If the specific heat ratio for the flowing fluid is not 1.40, the factor \(F_\gamma\) is used to adjust \(x_T\). Use the following equation to calculate the specific heat ratio factor:
where \(\gamma\) is the ideal gas \(C_p/C_v\). It should be noted that the above equation has been derived from perfect gas behaviour and extension of an orifice model with \(\gamma\) in the range of 1.08 to 1.65. If used outside the assumptions flow calculations may become inaccurate.
The expansion factor Y accounts for the change in density as the fluid passes from the valve inlet to the vena contracta. It also accounts for the change in the vena contracta area as the pressure differential is varied.
Heat transfer
Natural convection
Experiments have indicated that the internal heat transfer mechanism for a vessel subject to depressurization can be well approximated by that of natural convection as found from measured Nusselt numbers being well correlated with Rayleigh number, with no apparent improvement in model performance by inclusion of the Reynolds number in the model [WMM07].
To determine the heat transfer for the gas-wall interface, the following is applied cf. equation (10):
\(d Q\) is the change in thermal energy due to convective heat transfer. [J]
\(d t\) is the change in time during the heat transfer. [s]
\(h\) is the convective heat transfer. [W/m\(^2\) \(\cdot\) K ]
\(A\) is the area normal to the direction of the heat transfer. [m\(^2\)]
\(T_{s}\) is the inner surface temperature of the geometry. [K]
\(T_{gas}\) is the temperature of the bulk gas inside the vessel. [K]
The convective heat transfer will need to be estimated for the the gas-wall interface, by the use of empirical relations for the Nusselt number. The Nusselt number describes the ratio of convective heat transfer to conductive heat transfer, normal to a surface area, as given in equation (11).
\(Nu\) is the Nusselt number. [-]
\(h\) is the convective heat transfer. [W/m\(^2\)\(\cdot\)K]
\(L\) is a characteristic length of the geometry. [m]
\(k\) is the thermal conductivity of the gas. [W/m\(\cdot\)K]
The characteristic length \(L\) used is the height of the gas volume i.e. the length of a vertical vessel or the diameter of a horizontal vessel.
The empirical correlations used to calculate the Nusselt number of the gas-wall interface is a function of the Rayleigh number, which can be defined by the Grashof number and Prandtl number, as in equation (12):
\(Ra\) is the Rayleigh number. [-]
\(Gr\) is the Grashof number. [-]
\(Pr\) is the Prandtl number. [-]
The Grashof number is a dimensionless number which approximates the ratio of the buoyancy forces to viscous forces, as given in equation [(13):
The Prandtl number is a dimensionless number defined as the ratio of the momentum diffusivity to thermal diffusivity, as given in equation (14):
\(\beta\) is the coefficient of volume expansion. [1/K]
\(g\) is the standard acceleration of gravity. [m/s\(^2\)]
\(\rho\) is the gas density. [kg/m\(^3\)]
\(L\) is the characteristic length. [m]
\(\Delta T\) is the temperature difference of the surface and gas. [K]
\(\mu\) is the dynamic viscosity. [kg/m\(\cdot\)s]
\(c_p\) is the heat capacity of gas. [J/kg\(\cdot\)K]
\(k\) is the thermal conductivity of gas. [J/m\(\cdot\)K]
It is important to note that the properties in the above equations shall be evaluated at the fluid film temperature which can be approximated by the average of the the fluid bulk temperature and the vessel wall temperature [Gea93].
The mechanism of heat transfer on the outside of the vessel at ambient conditions is similar to the above. In HydDown the external heat transfer is not modelled currently. A heat transfer coefficient shall be provided.
Mixed convection
Experiments have indicated that the internal heat transfer mechanism for a vessel subject to filling can be well approximated by that of combined natural convection and forced convection as found from measured Nusselt numbers being well correlated with Rayleigh and Reynolds number [WMM07].
For mixed convection the effective Nusselt number, \(Nu\), can be approximated by
During charging with different gases (H\(_2\), N\(_2\) and Argon), Woodfield et al. demonstrated that in order to provide a good fit to the experimentally determined Nusselt number a correlation based on both Reynolds and Rayleigh number was necessary. The following formula was found to provide a good fit (n=1):
Nucleate boiling heat transfer
For heat transfer between vessel wall and liquid, this is treated as nucleate boiling and estimated via the Rohsenow correlation [Roh51] as implemented in the ht python library [BLVikramGovindarajanr24].
\(\rho_L\) is the density of the liquid [kg/m\(^3\)]
\(\rho_v\) is the density of the produced gas [kg/m\(^3\)]
\(\mu_l\) is the viscosity of liquid [Pa s]
\(k_l\) is the thermal conductivity of liquid [W/m K]
\(C_{p, l}\) is the heat capacity of liquid [J/kg K]
\(H_{vap}\) is the heat of vaporization of the fluid [J/kg]
\(\sigma\) is the surface tension of liquid [N/m]
\(T_e\) is the excess wall temperature, [K]
\(C_{sf}\) is Rohsenow coefficient specific to fluid and metal [-]
\(n\) constant, 1 for water, 1.7 (default) for other fluids usually [-]
In the present study a value of the Rohsenow coefficient of 0.013 is applied and the exponent \(n\) is set to 1.7. See also [JSRB04, Pio99].
Gas-liquid interfacial heat transfer
In the non-equilibrium model, the gas and liquid phases may have different temperatures. Heat transfer between the gas and liquid phases across the interface is modelled using a two-sided series resistance approach. Natural convection heat transfer coefficients are computed independently for both the gas side and the liquid side of the interface and combined as thermal resistances in series:
where \(h_\mathrm{gas}\) and \(h_\mathrm{liquid}\) are the natural convection heat transfer coefficients evaluated at the gas-side and liquid-side boundary layers respectively. This model captures the thermal resistance of both boundary layers and naturally limits the overall heat transfer rate by the gas-side resistance (which is typically dominant due to the lower thermal conductivity of gas).
The resulting heat transfer rate at the interface is:
where \(A_{gl}\) is the interfacial area between the gas and liquid phases, calculated from the vessel geometry and liquid level.
This interfacial heat transfer drives the gas and liquid temperatures towards each other and influences the rate of evaporation and condensation. The gas-side resistance is typically dominant because of the relatively low thermal conductivity and density of the gas phase.
Conduction
For accurate prediction of the outer and especially the inner wall temperature for correct estimation of internal convective heat transfer and the average material temperature, the general equation of 1-D unsteady heat transfer shall be solved:
T is temperature
x is the spatial (1-D) coordinate
k is the thermal conductivity
\(\rho\) is the material density
\(C_p\) is the specific heat capacity
To be solved, the initial values and boundary values must be specified. In its default state (if thermal conductivity is not applied for the vessel), HydDown does not include the unsteady heat transfer model, i.e. the assumption is that the temperature from outer to inner surface is uniform and equal to the average temperature. This is obviously a crude approximation, but might be justified depending in the Biot number:
The Biot number is a simple measure of the ratio of the heat transfer resistances at the surface of a body to the inside of a body. The ratio gives an indication to which extent the temperature will vary in space (gradient) when the body is subject to a displacement in temperature at the surface boundary layer. Striednig et al. [SBSK14] concluded that for a type I (steel) cylinder the Biot number was approx. 0.03 and hence the error in assuming a uniform temperature in the vessel wall was low.
With a typical thermal conductivity of 45 \(W/m K\) for steel and a heat transfer coefficient up to 600 \(W/m^2 K\) [WMM07] the Biot number for a vessel with a wall thickness of 2 cm is 0.27. This is significantly higher than that approximated by [SBSK14]. However, the Biot number is significantly lower than 1, and the assumption of a uniform temperature is reasonable. However, for increased wall thickness, and/or for different materials with lower thermal conductivity, the error may grow to an unacceptable level.
Biot number calculation in lumped models
To help users assess the validity of the lumped capacitance assumption, HydDown now calculates the Biot number at each time step for lumped heat transfer models (0-D). When the optional parameter thermal_conductivity_biot is specified in the vessel properties, the Biot number is computed as:
where \(h\) is the heat transfer coefficient, \(L\) is the wall thickness, and \(k\) is the thermal conductivity. The code issues warnings when \(Bi > 0.1\), indicating that thermal gradients through the wall may be significant and the 1-D transient heat transfer model should be considered instead.
For two-phase systems, separate Biot numbers are calculated for the wetted (liquid-contact) and unwetted (gas-contact) regions, as these typically have very different heat transfer coefficients. The wetted region often exhibits much higher Biot numbers due to the enhanced heat transfer coefficient from boiling.
Note that thermal_conductivity_biot is distinct from thermal_conductivity: the former is used only for Biot number validation in lumped models, while the latter activates the full 1-D transient heat transfer solver.
Especially for vessels with low conductivity materials (or very thick walls) accurate estimation of the vessel wall temperatures requires the 1-D transient heat transfer problem to be solved. HydDown incorporates the thermesh code provided under an MIT license by Wouter Grouve [Gro]. The implemented model applies Cartesian coordinates as also applied in the h2fills program by NREL [KNP+21], i.e. the curved vessel wall is assumed a flat plate. This may to some extent be justied by the relatively large radius of a cylindrical storage container compared to the vessel wall thichness (see also justification references in [KNP+21]).
In HydDown, the 1-D transient heat conductivity problem is solved with thermesh assuming temperature independent vessel material density, heat capacity and thermal conductivity applying the Crank-Nicholson scheme using Neumann boundary conditions:
The heat flux at the outer (left) and inner (right) is calculated/updated for each major time step for the explicit solver for mass and energy balances. For each major time step thermesh is used to update the outer and inner wall temperature by solving the 1-D transient heat conductivity using a minor time step equal to 1/10th of the major time step and 11 nodes. For each time thermesh is called during major time steps the mesh is initialised with the temperature profile at the end of the former major time step.
Fire heat loads
The heat transfer from the flame to the shell is modelled using the recommended approach from Scandpower [HS04] and API [API14b]. The heat transfer from the flame to the vessel shell is divided into radiation, convection, and reradiation as seen in equation (17):
\(q_f\) is the flame heat flux. [W/m\(^2\)]
\({\alpha}_s\) is the vessel surface absorptivity. [-]
\({\varepsilon}_f\) is the flame emissivity. [-]
\(\sigma\) is the Stefan-Boltzmann constant, \(\sigma\) = \(5.67 \cdot 10 ^ {-8}\) [W/m\(^2 \cdot\) K\(^4\)]
\(T_f\) is the flame temperature. [K]
\(h_f\) is the convection heat transfer coefficient between the flame and the surface. [W/m\(^2 \cdot\) K]
\(T_s(t)\) is the time dependent surface temperature. [K]
\({\varepsilon}_s\) is the surface emissivity. [-]
This model assumes that the pressure vessel is fully engulfed by the flame. This means that the view factor for the radiation is unity and is therefore not taken into consideration. The convective heat transfer coefficients for a jet fire and a pool fire, and recommended values for the emissivity and absorptivity, are given by Scandpower as [HS04]:
\(h_{jet~fire}\) = 100 [W/m\(^2 \cdot\)K]
\(h_{pool~fire}\) = 30 [W/m\(^2 \cdot\)K]
\({\alpha}_s\) = 0.85
\({\varepsilon}_s\) = 0.85
\({\varepsilon}_f\) = 1.0 (optical thick flames, thickness > 1 m)
The flame temperature is found by solving equation (18) for the incident heat flux in relation to the ambient conditions. The flame temperature is kept constant throughout the simulation:
\(q_{total}\) is the incident flame heat flux as given in table the table below. [W/m\(^2\)]
\(T_{amb}\) is the ambient temperature \(\approx\) 293 K (20\(^\circ\) C)
The heat flux used to calculate the flame temperature is given in table the table.
Small jet fire [kW/m\(^2\)] |
Large jet fire [kW/m\(^2\)] |
Pool fire [kW/m\(^2\)] |
|
|---|---|---|---|
Peak heat load |
250 |
350 |
150 |
Background heat load |
0 |
100 |
100 |
Source: [HS04]
Vessel geometry
All vessels modelled are assumed of cylindrical shape. The following shapes are available in openthermo all provided by the Python fluids library [Bel25].
Flat-end vessel
ASME F&D
DIN (28011)
2:1 Semi-elliptical
Hemisperical
Both ASME F&D, DIN and 2:1 semielliptical are variants of a torispherical vessel. See also the document Calculating Tank Volume. The hemisperical ends are half-speres extending one radius out.
Vessel geometry |
f |
k |
|---|---|---|
2:1 semi-elliptical |
0.9 |
0.17 |
ASME F&D |
1 |
0.06 |
DIN 28011 |
1 |
0.1 |
For torispherical tank heads, the f and k parameters are used in standards [Bel25]. f is the dish-radius parameter, k is the knuckle-radius parameter.
Using the fluids library partial volumes, surface area (full and partial) and liquid level (from partial volume) can be calculated and used internally in openthermo.
Rupture evaluation
It is assumed that when the von Mises stress, \(\sigma_e\) (MPa), exceeds the allowable tensile strength of the material, (ATS) (MPa), rupture will occur, i.e., when \(\sigma_e\) > ATS.
The ATS is calculated as [HS04]:
Where
\(UTS\) is the material Ultimate Tensike Strength
\(k_s\) is a general safety factor for a specific material with known material data. If typical material specific data is applied a factor of 0.85 is recommended.
\(k_y\) is an additional factor used for material with missing or uncertain data. Normally this factor is 1.0.
The von Mises stress is calculated by:
Where
\(p\) is the pressure (MPa)
\(D\) is the vessel/pipe external diameter
\(d\) is the vessel/pipe internal diameter
\(\sigma_a\) is the longitudinal stress due to the external force. Assumed to be 30 MPa [HS04]
The evaluation of vessel rupture is performed as a post-calculation step following the actual depressurisation calculation. The depressurisation calculation is performed with the applicable back-ground heat load to generate the time dependent pressure profile of the vessel inventory. The background heat load is depending on the fire type as also summarised in the table below. During the depressurisation calculation the internal heat flux is calculated. In the post-calculation step an energy balance is made for the vessel material, with the external heat is generated by the applicable peak heat load Stefan-Boltzmann formulation as also provided in the table below, with the internal heat flux calculated using the back-gorund heat load. The heat balance for the vessel wall is used to solve for the vessel wall temperature as a function of time
Where:
\(T\) is the vessel wall temperature (K)
\(q_{external}\) is time dependent peak fire heat flux (W/m\(^2\) K)
\(q_{internal}\) is the internal convective heat flux (W/m\(^2\) K)
\(C_p\) is the material temperature dependent heat capacity (J/kg K)
\(\rho\) is the materal density (assumed constant) (kg/m\(^3\))
\(dx\) is the vessel wall material thickness (m)
This oridinary differential equation is solved using a simple explicit Euler scheme.
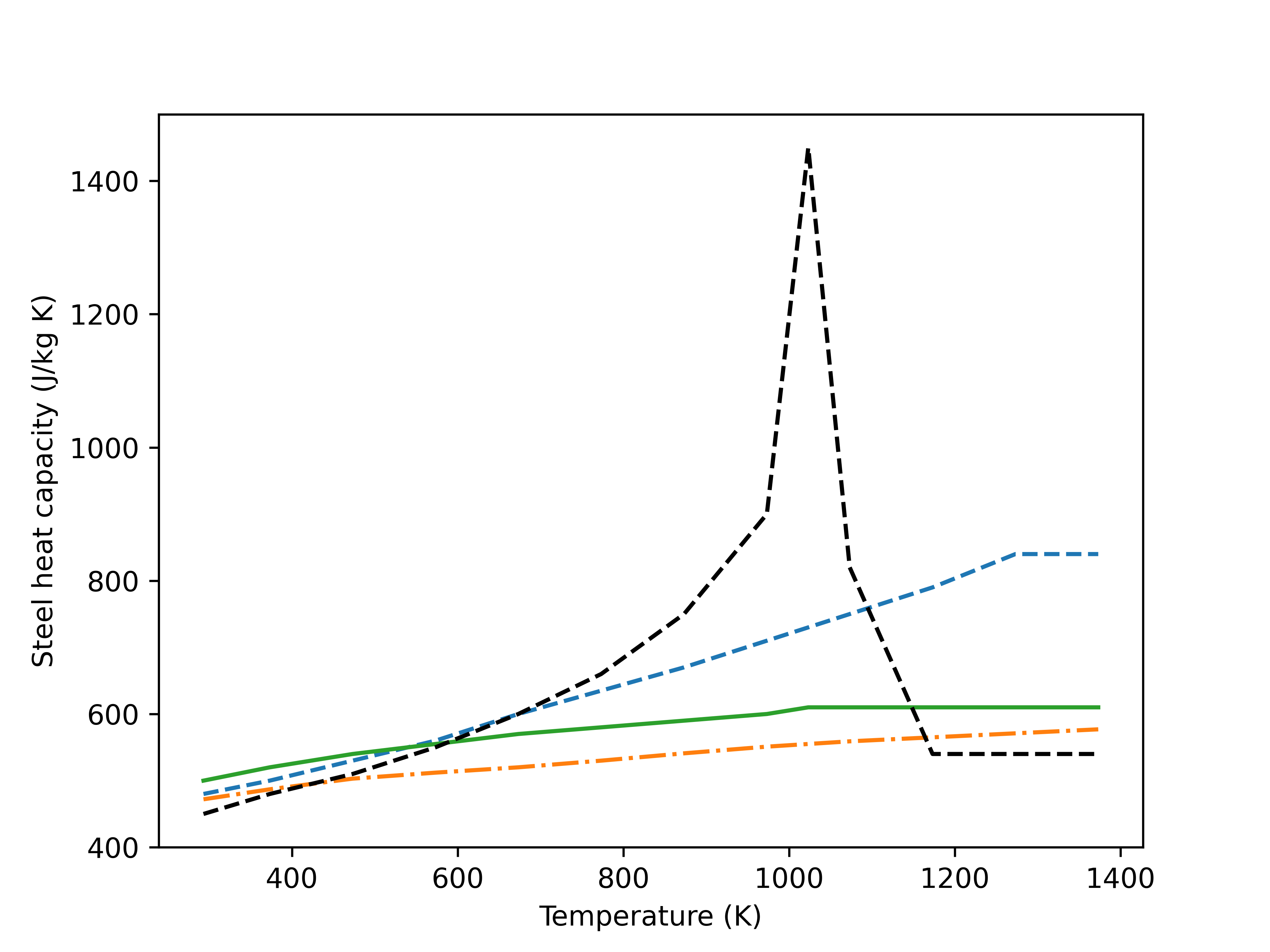
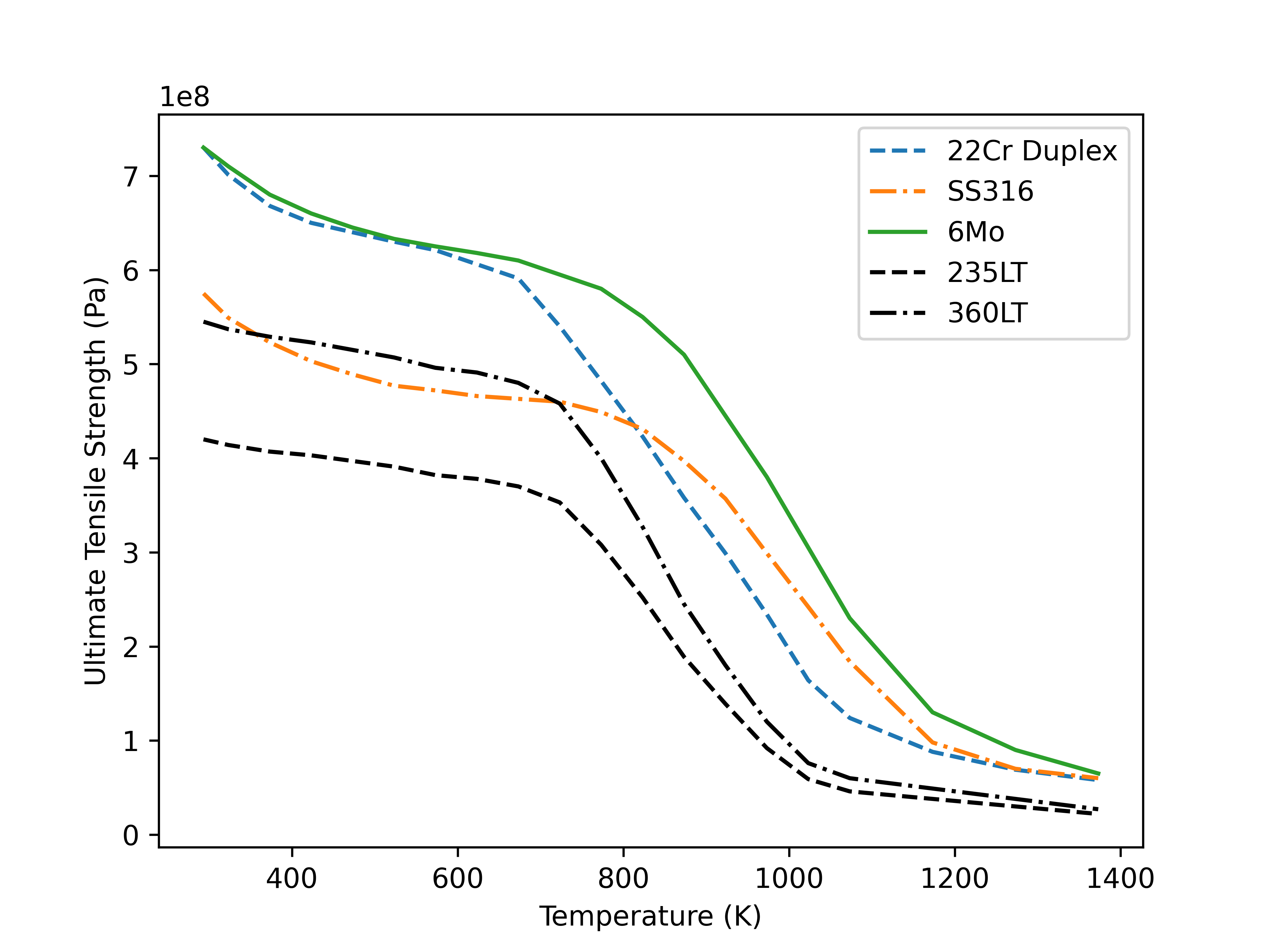
The temperature dependent material properties has been sourced from the Scandpower guideline [HS04] and visualised in Figure 5 and Figure 6 for heat capacity and Ultimate Tensile Strength, respectively. The materials implemented in hyddown are summarised in the table below.
Figure 5 Steel heat capacities as a function of temperature for the materials implemented in hyddown. The values have been sourced from [HS04] and missing values extrapolated to cover the same temperature range.
Figure 6 Steel Ultimate Tensile Strength as a function of temperature for the materials implemented in hyddown. The values have been sourced from [HS04] and missing values extrapolated to cover the same temperature range.
Steel type |
Type / alloy |
ASME |
DIN |
ASTM |
|---|---|---|---|---|
Carbon steel |
235LT |
A-333 / A-671 |
||
360LT |
||||
Duplex (SS) |
2205 |
SA-770 |
1.4462 |
A-790 |
Austenitic (SS) |
316 |
A-358 316 |
1.4401 |
A-320 |
Super austenitic (SS) |
6Mo |
1.4529 |
B-677 |
Model implementation
A simple (naive) explicit Euler scheme is implemented to integrate the mass balance over time, with the mass rate being calculated from an orifice/valve equation as described in Flow devices:
For each step, the mass relief/ left in the vessel is known. Since the volume is fixed the mass density is directly given.
For the calculation methods (isentropic, isenthalpic, isenergetic, etc.), CoolProp allows specifying density and either H, S, or U directly - this is very handy and normally only TP, PH, or TS property pairs are implemented and you would need to code a second loop to make it into am UV, VH, or SV calculation.
In the following, the high-level steps in the solution procedure are outlined for the different calculation types. To illustrate calls to the equation of state in CoolProp, the notation \(EOS(D,T)\) corresponds to calculation of the state at known density and temperature, for example.
Isothermal process
For an isothermal process, the solution procedure for each calculation step is the following with the mass in the control volume being calculated from (19):
The notation \(EOS(T,P)\) refers to a call to CoolProp either via PropsSI or the AbstractState solving the equation of state for specified temperature and pressure. Different state pairs are applied includeing combinations of density (D), specific enthalpy (H), specific entropy (S), specific internal energy (U).
Isenthalpic process
For an isenthalpic process:
Isentropic process
For an isentropic process:
Isenergetic process
For an isenergetic process:
Energy balance
The general first law applied to a flow process as outlined in First law for flow process subject to an explicit Euler scheme is:
The above assumes that mass flow is positive when leaving the control volume and heat rate is positive when transferred to the control volume. \(H(i)\) is the specific enthalpy of the fluid in the control volume for a discharging process and it is equal to the energy of the entering stream for a filling process. The heat rate is calculated as outlined in (see the relevant section above).
For the vessel wall a simple heat balance is also made:
where \(\dot{Q}_{outer}\) is the convective heat transfer to or from the ambient surroundings from the outer surface of the vessel, with positive values indicating that heat is transferred from the surroundings to the vessel wall. This is either a fixed heat transfer coefficient with a specified ambient temperature (outer surface) or a calculated fire heat load. \(\dot{Q}_{inner}\) is the internal heat transfer, either a fixed number or calculated as natural convection (for discharge) or mixed natural and forced convection (filling).
When the temperature profile of the vessel wall is calculated using the 1-D transient conductivity equation the vessel temperature as calculated above represent the mean vessel temperature and addition to this the outer and inner wall temperatures are calculated.
If a fixed \(\dot{Q}\) is provided or a fixed overall heat transfer coefficient is provided the vessel wall temperature heat balance is not solved.
The remaining steps are update of temperature and pressure:
Non-equilibrium model (NEM)
The standard energy balance described above assumes that the gas and liquid phases are in thermal equilibrium, i.e. they share a common temperature at all times. While this is a reasonable approximation for many scenarios, it can be inadequate for systems where significant temperature differences develop between phases, such as LPG vessels subject to fire heat loads. In such cases the gas phase heats rapidly while the liquid remains near saturation temperature, a thermal bifurcation that equilibrium models cannot capture.
The non-equilibrium model (NEM) — equivalent to the partial phase equilibrium (PPE) approach introduced by Speranza and Terenzi [ST05] and further developed by Ricci et al. [RDAlessandroM+15] and D’Alessandro et al. [DAlessandroGL+15] — addresses this limitation by dividing the vessel fluid into two zones: zone V (vapour phase) and zone L (liquid phase), each at a common pressure but potentially different temperatures. Further details are provided in [AS25].
Phase transfer mechanism
To account for mass and energy exchange between the phases, two “child” phases are introduced:
Phase “v” (bubbles formed by evaporation from the parent liquid L)
Phase “l” (droplets formed by condensation from the parent vapour V)
It is assumed that each child phase is in phase equilibrium with its parent: the evaporated liquid “v” is in equilibrium with L, and the condensed vapour “l” is in equilibrium with V.
While the child phases physically appear as droplets in the gas and bubbles in the liquid with finite settling/rising times, for modelling purposes they are assumed to form and immediately homogenise in their corresponding bulk phase within each time step. Thus, the condensed vapour droplets immediately join the bulk liquid, and the evaporated liquid bubbles immediately join the bulk vapour. The whole system is consequently split into two partial sub-systems, “V+l” and “L+v”, each constituted of one parent (bulk) phase and one child phase. This enables mass and energy exchange between the parent phases while accounting for thermal non-equilibrium.
Mass conservation
The mass conservation for each component \(j\) in the vapour and liquid phases is:
where \(N_{V,j}\) and \(N_{L,j}\) are the moles of component \(j\) in the vapour and liquid phases, \(\dot{N}_{D,j}\) is the discharge rate of component \(j\), \(\dot{N}_{EL,j}\) is the rate of evaporation from the parent liquid (L\(\rightarrow\)v), and \(\dot{N}_{CV,j}\) is the rate of condensation from the parent vapour (V\(\rightarrow\)l).
Energy balance
The energy balance for each phase is:
where \(u_V\)/\(h_V\) and \(u_L\)/\(h_L\) are the molar specific internal energy and enthalpy of the vapour and liquid phases respectively, \(\dot{N}_D\) is the total molar discharge rate, and \(\dot{Q}_{wV}\) and \(\dot{Q}_{wL}\) are the heat transfer rates from the wall to the vapour and liquid phases respectively.
The exchange of energy between the phases via condensation and evaporation involves enthalpy (rather than internal energy alone), thereby including \(pV\) work to “push” the condensed vapour into the liquid phase and the evaporated liquid into the vapour phase. The equations of the PPE have been written in the literature both with enthalpy and internal energy as the means of energy transfer between the phases [DAlessandroGL+15, PKRL18, RDAlessandroM+15] with no universally established convention.
Vessel wall energy balance
The vessel wall energy balance is formulated separately for the wetted and unwetted regions:
where \(T_{wV}\) and \(T_{wL}\) are the wall temperatures in the vapour-contact and liquid-contact regions, \(\dot{Q}_{Aw}\) is the ambient (or fire) heat transfer to the wall, \(m_{wV}\) and \(m_{wL}\) are the wall material masses in each region, and \(c_{p,w}\) is the wall material heat capacity.
Implementation
In HydDown’s NEM implementation (single-component systems), the condensation and evaporation rates are determined by performing a UV-flash of each parent phase at the current system state: if the flash of the vapour phase produces liquid, that liquid constitutes the condensed vapour “l”; if the flash of the liquid phase produces vapour, that vapour constitutes the evaporated liquid “v”. For numerical stability, a relaxation factor of 0.8 is applied to the computed phase transfer rates.
The NEM is activated in the input file by setting non_equilibrium: true in the calculation section. The gas-liquid interfacial heat transfer coefficient can be specified as a fixed value or computed using the two-sided series resistance model (see equation (15)) by setting h_gas_liquid to "calc" or "calc_two_sided".
Multicomponent mixtures
Although not an initial requirement, the code can handle multi-component gas mixtures. When calculations are done for multicomponent mixtures, the code runs significantly slower. Please note, that in case that liquid condensate is formed during discharge calculations and even if the calculations does not stop, the results cannot be considered reliable. This is because component balances are not made and it is always assumed that the discharge composition is the same as the global composition inside the vessel. When liquid condensate is formed the composition of the vapour phase will differ from the global composition. Further, the only gas properties are estimated during multicomponent calculations, and no liquid heat transfer is considered, although a liquid phase may be present. This will make the estimation of wall temperature non-conservative if low temperature excursion is investigated.
There are a few examples of multicomponent mixtures included with HydDown. In order to specify multicomponent mixtures the below example can be used as guidance:
"Methane[9.01290129e-01]&Ethane[6.35063506e-02]&N2[7.80078008e-03]&CO2[2.34023402e-02]&Propane[3.50035004e-03]&Butane[5.00050005e-04]"
For component names please refer to the Coolprop manual.
An example calculation for the above mixture is shown in Figure 7.
The pressure and temperature trajectory is visualised along with the fluid mixture phase envelope in Figure 8. As seen from the figure, this case is borderline and the pressure/temperature trajectory just coincides with the dew line on the phase envelope. This plot is included in the example main script that comes with HydDown and serves as an important quality control.
For multi-component mixtures CoolProp does not provide solver for PH and UV-problems and these solvers have been included in HydDown by wrapping the CoolProp PT solver with a Nelder-Mead algorithm for solving for internal energy and density or pressure and enthalpy.
Figure 7 Gas discharge of multicomponent mixture
Figure 8 Multicomponent mixture phase envelope and pressure and temperature trajectory of the vessel inventory during discharge
Validation
The code is provided as-is. However, comparisons have been made to some experiments from the literature.
The following gases and modes are considered:
High pressure hydrogen discharge
High pressure hydrogen filling
High pressure nitrogen discharge
High pressure multi-component gas discharge
These cases are all for Type I (steel) cylinders and the simple heat transfer / heat balance model has been applied, ignoring the thermal gradient in the cylinder wall. It has been checked by applying the 1D transient heat conduction model that the results are basically unaffected by this assumption. In addition to these, a few cases for Type IV cylinders have also been included in order to validate the 1D transient heat conduction model applied. This includes
High hydrogen discharge - comparison with commercial software.
High pressure helium discharge experiment (Karlshuhe Institute of Technology)
High pressure hydrogen discharge (GasTeF experiment)
Details on Type III experiments are sparse but some general observations are made for the difference between type III and type IV cylinders and a single type III filling experiment is modelled.
Furthermore, the non-equilibrium model (NEM) for two-phase systems has been validated against propane tank fire experiments:
LPG fire engulfment (Moodie et al.)
LPG partial fire engulfment with rupture prediction (Birk et al.)
HydDown has also been benchmarked against external code by Ruiz and Moscardelli [RuizMaraggiM23], who compared their GeoH2 app against HydDown and found excellent agreement for both pressure, mass flow rate and gas temperature for three different cases of discharge and filling.
Hydrogen discharge (Type I)
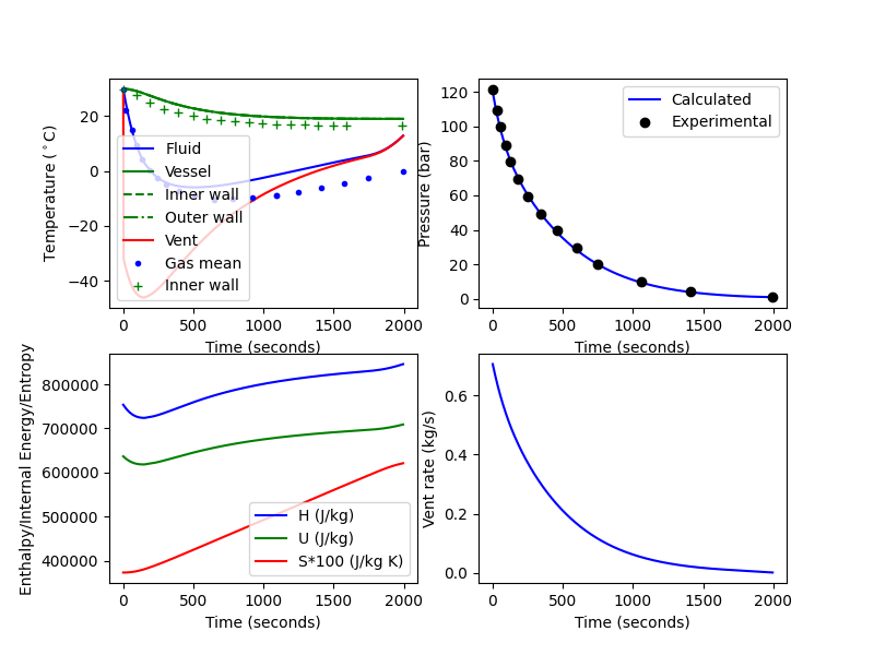
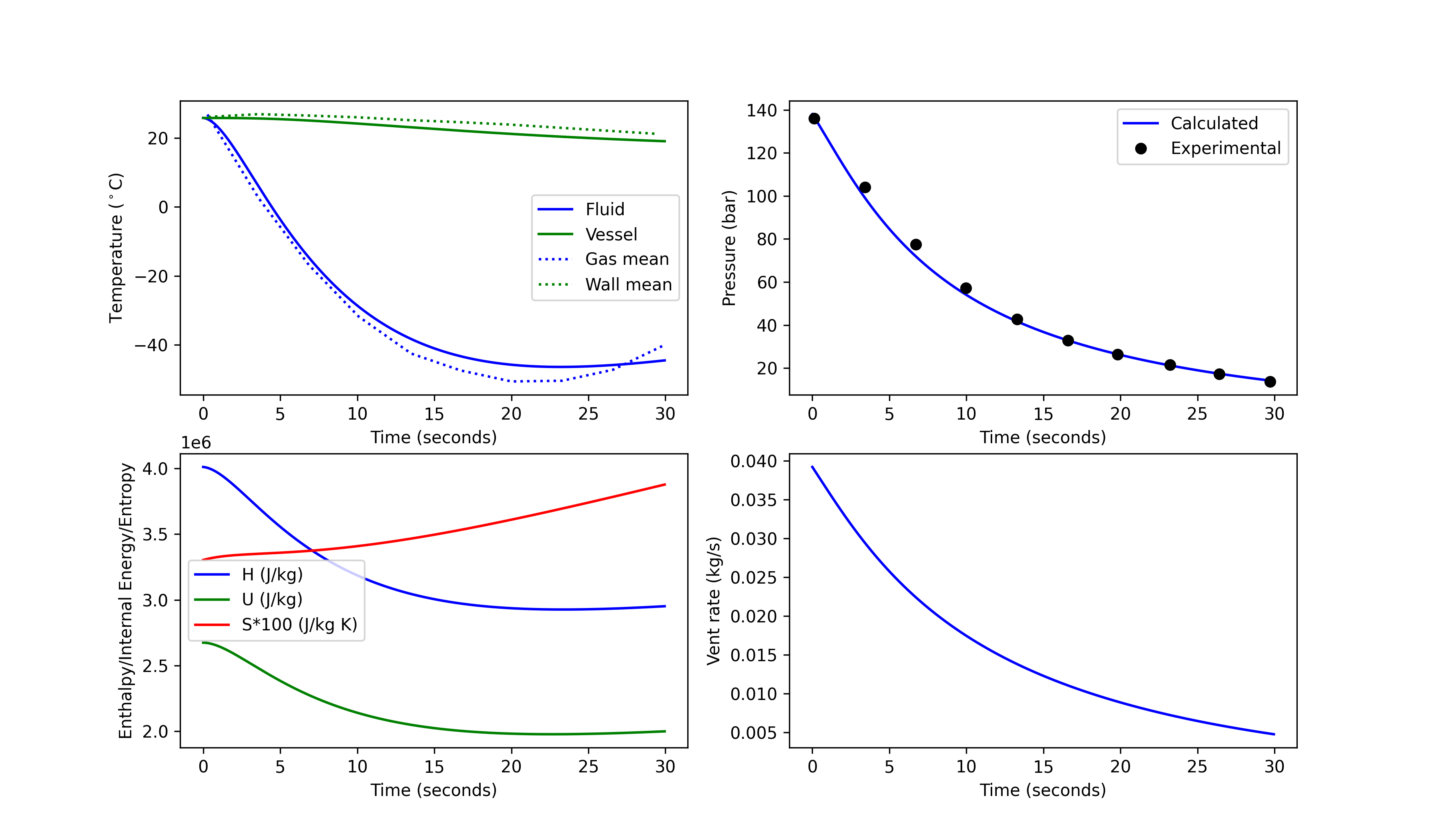
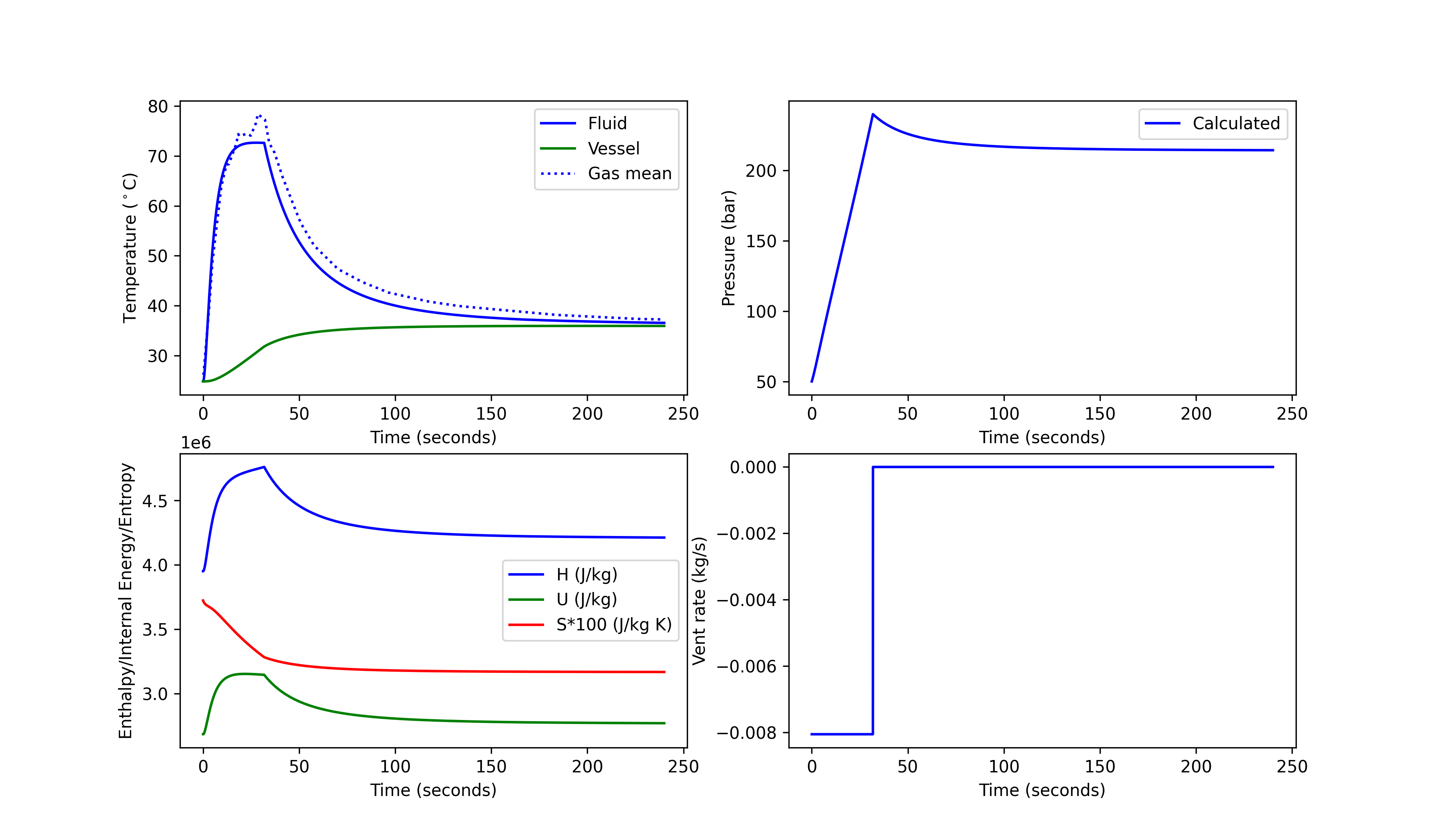
Calculations with HydDown for high pressure hydrogen vessel discharge have been compared to three experiments from [BRR64]. Byrnes et al. [BRR64] have reported a number of rapid depressurization experiments using both nitrogen and hydrogen, with blowdown times being varied between 14 seconds to 33 minutes. The vessel used was a type “K” gas cylinder with a volume of 0.0499 m\(^3\), an ID of 8.56 inches and shell length of 55 inches. The vessel is placed in a vertical position. A control valve is mounted on the neck of the cylinder with a fixed opening percentage during each experiment, set to provide the required depressurization rate. It is mentioned that the gas cylinder is placed inside a weather proof cabinet with perlite insulation in order to emulate adiabatic conditions. However the simulations run here are with a finite heat transfer coefficient on the outside of the cylinder. In their paper, detailed pressure and temperature traces are provided for three experimental runs: 7, 8, and 9, with depressurization from 2000 psia in 30 seconds, 480 seconds and 14 seconds, respectively. These experiments are simulated in Figure 9, Figure 10 and Figure 11.
Figure 9 Calculations of hydrogen discharge experiment run 7 from [BRR64]. The figure shows calculated gas and wall temperature (full lines) compared to experiments (upper left), calculated and experimental pressure (upper right), specific thermodynamic state variables (lower left), and the calculated vent rate (lower right).
The figure layout is general for all the validation studies conducted and will be described in brief for eased readability. Each experiment figure is divided in 4 subplots: the upper left shows the simulated bulk gas temperature and vessel wall (average) temperature with measured values included with stipulated lines (if available), the upper right shows the simulated and measured pressure (if available, shown with points), the lower left shows the specific enthalpy, specific internal energy, and the specific entropy of the bulk gas content as a function of time, the lower right shows the simulated mass rate leaving or entering the vessel.
As seen from Figure 9, Figure 10, and Figure 11, the calculations generally compare well with the experimental results. It appears as though the faster depressurization times are predicted the best, as seen from run 7 and 9. The much slower run 8 does not have as good a fit for the bulk gas temperature. However, on an absolute scale the results are still within 5\(^\circ\)C of the experimentally determined gas temperature. The trend in goodness of fit could indicate that the heat transfer from the outside of the vessel to the gas lacks some details, which become detectable at the very slow depressurization. For the fast depressurization the heat transfer from the outside is of less importance and the inside heat transfer coefficient may be predicted better.
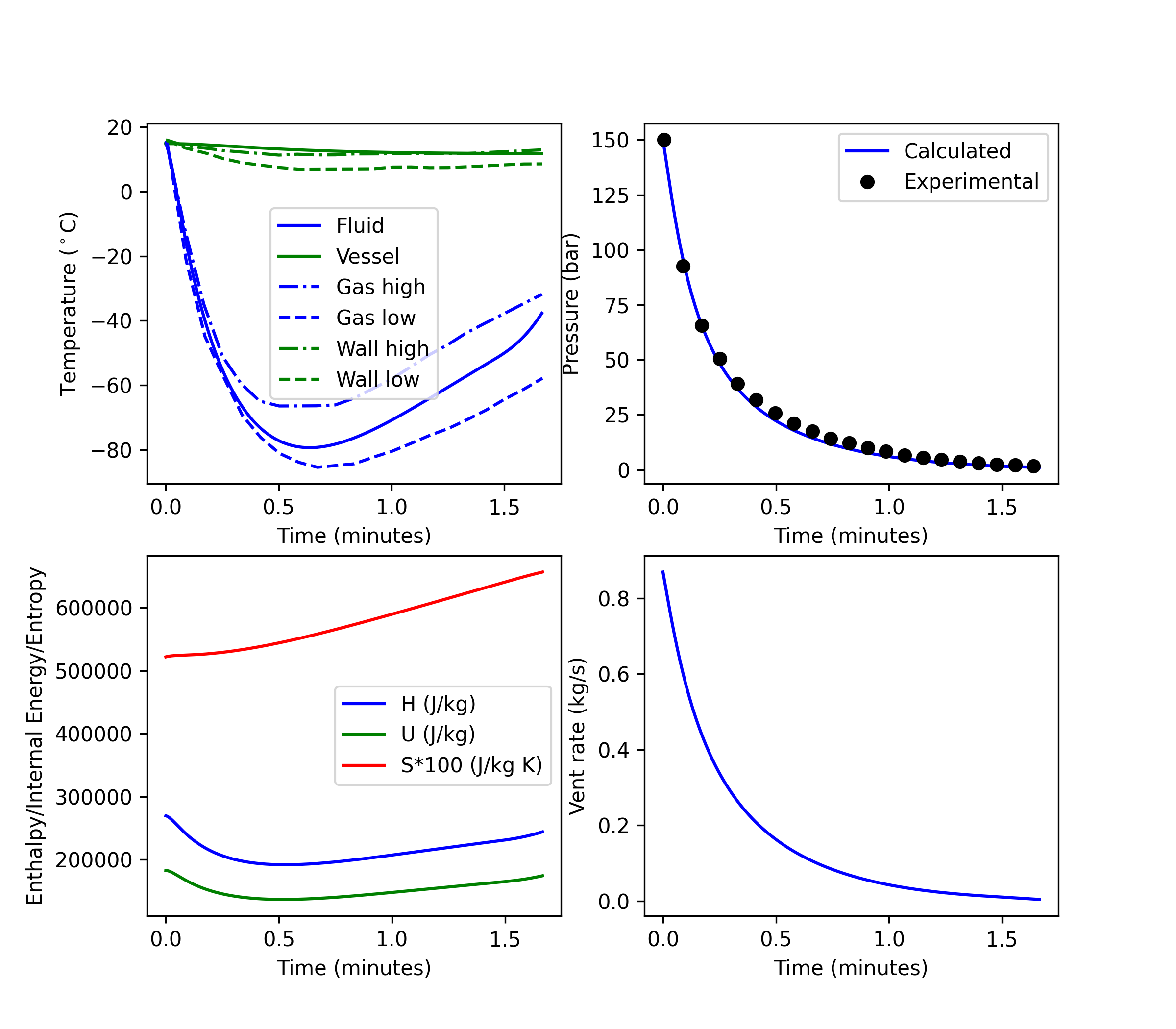
Hydrogen filling (Type I)
In order to compare HydDown to experimental values of hydrogen filling operation the experiments reported by Striednig et al. [SBSK14] are used. Experimental results were obtained using a type I tank (steel) with a volume of 0.0235 m\(^3\). The filling of hydrogen of gas into the vessel was carried out with an upstream reservoir kept at 350 bar and the flow was controlled with an electronically controlled dispenser. Vessel details are provided below:
Parameter |
Value |
|---|---|
Mass |
69.5 kg |
Length |
0.61 m |
OD |
0.280 m |
Wall thickness |
0.0129 m |
Density |
7740 kg/m\(^3\) |
Heat capacity |
470 J/(kg K) |
Source: [SBSK14]
[SBSK14] reports many different experiments. In this comparison we will use experiments applying different pressurisation rates / durations using identical initial conditions. The experiments are reported in Fig. 6 and Fig. 7 in [SBSK14].
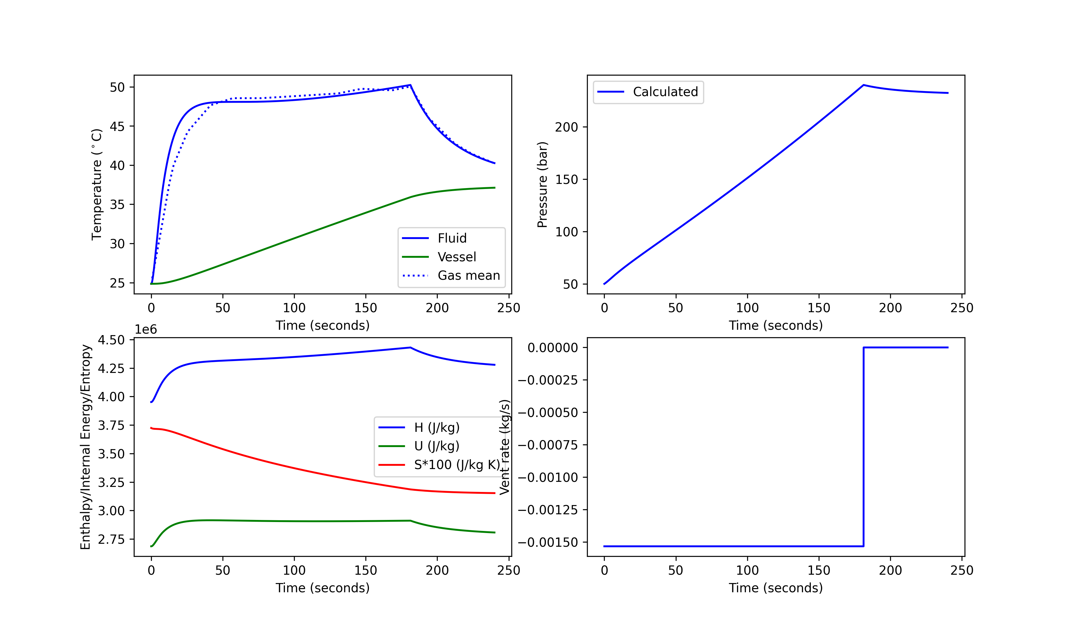
In its current stage HydDown does not directly support specifying a fixed pressurisation rate expressed as a constant rate of change in pressure / pressure ramp rate (PRR). In order to emulate the experiments, an orifice model is used with an artificially high reservoir pressure in order to ensure that the flow is critical during the entire pressurisation. This gives a constant mass rate and translates to a fairly constant pressure ramp rate, although with real gas effects being clearly observable.
The results of the simulations with HydDown and the experiments from [SBSK14] are shown in Figure 12, Figure 13, Figure 14. As seen from the figures the experimental gas temperature appears to be simulated very accurately. The simulation with the fastest pressurisation under-predicts the experimental temperature slightly. The main features of the pressurisation temperature profile is a rapid increase in temperature, at the beginning of the pressurisation, where the effects of filling dominate. At approximately 20-30 s, the temperature increase levels off to a plateau, where the length of the plateau depends on the pressurisation rate. The slower the depressurization, the longer the plateau. During this temperature plateau, the heat transfer from the gas to the vessel and surroundings balance the temperature increase that would occur if performed at adiabatic (isolated) conditions. When the gas flow has ceased upon reaching the final pressure, the temperature starts to drop due to cooling of the gas by the colder vessel wall driven by convective heat transfer. The temperature stabilises at a temperature which is higher than the initial ambient temperature due to the heating of the steel vessel. The cooling of the vessel by ambient air is slower and would require a longer run time to be clearly visible.
Figure 12 Simulation of \(H_2\) pressurization using 5 MPa/min [SBSK14].
Figure 13 Simulation of \(H_2\) pressurization using 10 MPa/min [SBSK14].
Figure 14 Simulation of \(H_2\) pressurization using 30 MPa/min [SBSK14].
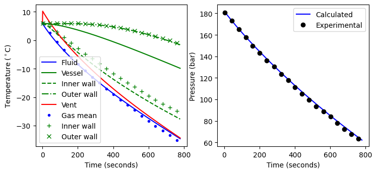
Nitrogen discharge (Type I)
Calculations with HydDown are compared to experiment I1 from ref. [HRS+92]. The experiment is a blowdown of a vertically oriented cylindrical vessel with flat ends. The vessel length is 1.524 m, the inside diameter is 0.273 m, and the wall thickness is 25 mm. The vessel is filled with N\(_2\) at 150 bar and 15\(^\circ\)C. Ambient temperature is 15\(^\circ\)C. The blowdown orifice diameter is 6.35 mm. The results are shown in Figure 15. The discharge coefficient of the orifice has been set to 0.8 in order to match the vessel pressure profile. The back pressure is set to atmospheric conditions.
As seen from Figure 15, the calculations compare well with the experimental results. The calculated temperature of the bulk vapor is within the experimental range of measured temperature at all times during the simulation. It is also noted that the minimum temperature is reached at approximately the same time as in the experiments. The calculated vessel inner wall temperature does not decline as rapidly as the experiments, but from around a calculation time of 60 s, the temperature is within the experimentally observed inner wall temperature.
Figure 15 Calculations of nitrogen discharge emulating experiment I1 from [HRS+92]. The figure shows calculated gas and wall temperature (full lines) compared to experiments (upper left), calculated and experimental pressure (upper right), specific thermodynamic state variables (lower left), and the calculated vent rate (lower right).
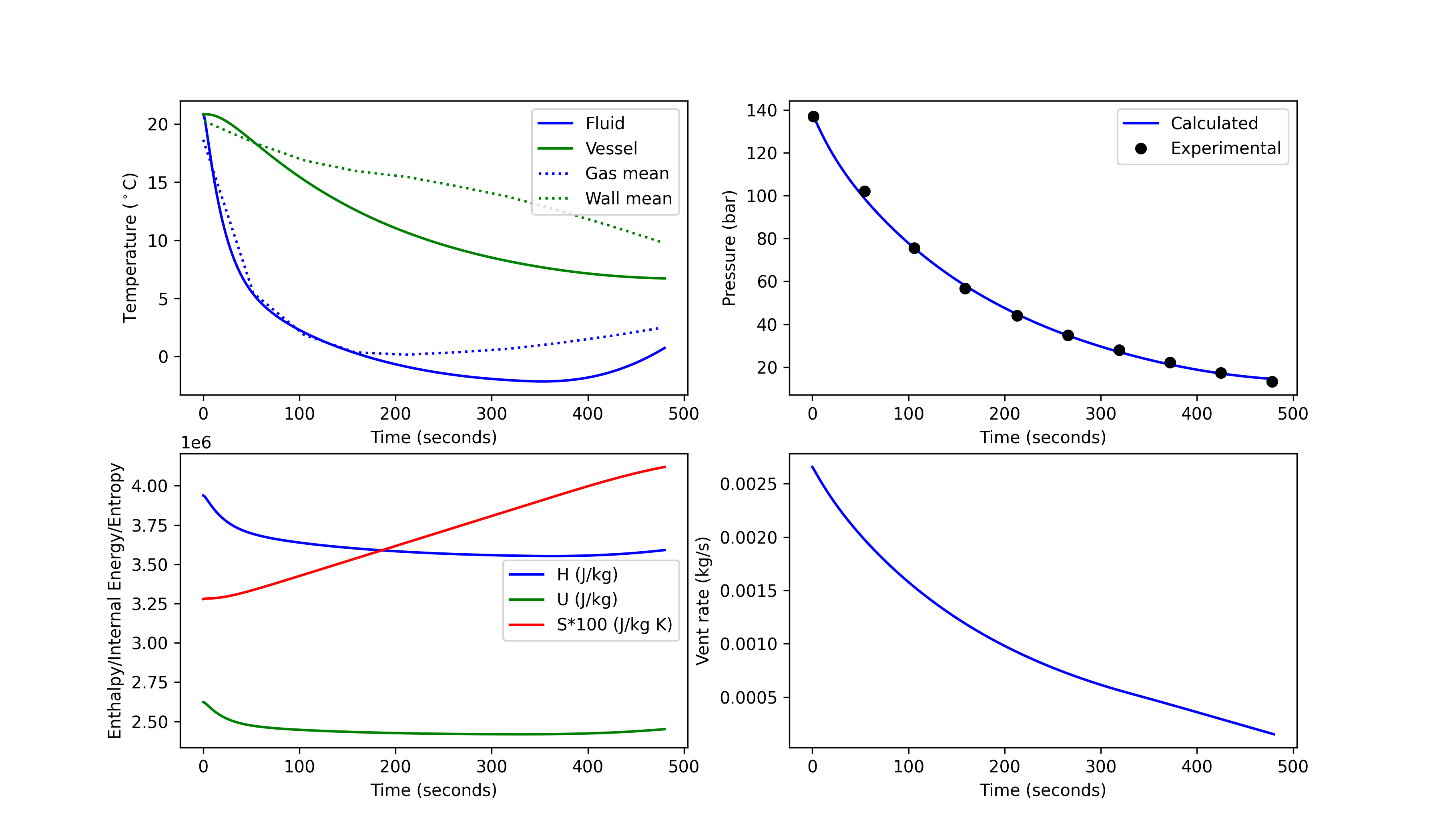
Multi-component discharge (Type I)
The experiments were conducted by Haque et al. [HRS+92] and the experimental data has been extracted from the Ph.d. thesis of Wong [Won98].
The experimental vessel is a full-size suction scrubber for a gas compressor which has a total volume of 2.78 m3, with length and inside diameter of 3.240 m (2.75 m tan-to-tan) and 1.130 m respectively. The wall thickness is 59 mm. For modelling the length of a flat-ended cylinder has been adjusted to give a total volume of 2.78 m3. An orifice diameter of 6.35 mm was used for discharge and for HydDown modelling the discharge coefficient was adjusted to 0.97 to match the experimental pressure. The results of HydDown and comparison with the experimental results are shown in the figure.

The minimum gas temperature simulated by HydDown is -6\(^\circ\)C, compared to the minimum measured average gas temperature of -10.3\(^\circ\)C. The difference in measured vs calculated wall temperature is 2.3\(^\circ\)C, with a lower measured wall temperature.
1-D transient heat transfer
A few notes about vessels with poor thermal conductivity and composite materials. When modelling systems with high Biot number and in particular composite materials the complexity increases significantly. Not just because of the more difficult numerical problem, but even more so because of uncertainty in key parameters such as thermal conductivity, density and heat capacity. Composite materials such as carbon fibre or glass fibre reinforced epoxy systems can be manufactured in many different ways (fibre orientation etc.) which effects the previously mentioned properties. These properties, in particular the thermal conductivity, will influence the results significantly. If these properties are not accurately informed for the system to be analysed, sourcing data from literature shall be done with caution.
Validation against commercial simulation tool
The first validation case is made against the commercial tool Honeywell Unisim Design in dynamics mode. The initial conditions and vessel details are summarised below cf. the table.
Parameter |
Value |
|---|---|
Length |
6.4 m |
ID |
0.619 m |
Wall thickness |
0.024 m |
Density |
2000 kg/m\(^3\) |
Heat capacity |
962 J/(kg K) |
Thermal conductivity |
0.5 W/(m K) |
Outside \(h\) |
2 W/(m\(^2\) K) |
Initial pressure |
182 bar |
Initial temperature |
6 \(^\circ\)C |
Discharge mass flow |
0.02 kg/s |
Gas |
Hydrogen |
The comparison between HydDown results and the corresponding simulations using Unisim Design Dynamics are shown in Figure Figure 16: As seen from the results the results obtained using HydDown closely resembles the Unisim Design results. The outer wall temperature is matched perfectly and the final gas temperature and inner vessel temperature deviates marginally by 1.5 and 1.9 \(^\circ\)C, respectively. Unisim predicts a slightly lower gas temperature and HydDown predicts a slightly lower inner wall temperature.
Figure 16 Calculations of vessel wall temperature (inner/outer) with 1D transient heat conduction during hydrogen discharge for comparison with simulation performed with Unisim Design Dynamics. The figure shows calculated gas and wall temperature (lines) compared to Unisim simulations (left) with Unisim results shown with points, calculated and Unisim simulation pressure (denoted “Experimental”) (right).
Validation against KIT experiment (Type IV)
Using data from Molkov et al. [DMM17, MDKM21]experiments performed at HYKA-HyJet research facility at Karlsruhe Institute of Technology (KIT) for a 19 liter type IV pressure vessel are simulated. The storage vessel was initially charged to 700 bar with helium gas and then cooled down to a normal room temperature (293 K ) before start of the depressurisation. Tank characteristics were not available and the required parameters were extracted from a similar tank by Molkov et al., see references within refs. [DMM17, MDKM21]. Discharge was through 1 mm nozzle and a discharge coefficient of 0.9 was applied in HydDown as in the study by Molkov et al.. The initial conditions and vessel details are summarised below cf. the table.
Type IV tank |
|
|---|---|
External length |
904 mm |
ID |
180 mm |
OD |
228 mm |
HDPE liner |
|
Thickness |
7 mm |
Density |
945 kg/m\(^3\) |
Heat capacity |
1584 J/(kg K) |
Thermal conductivity |
0.385 W/(m K) |
CFRP shell |
|
Thickness |
17 mm |
Density |
1360 kg/m\(^3\) |
Heat capacity |
1020 J/(kg K) |
Thermal conductivity |
0.5 W/(m K) |
Initial conditions |
|
Outside \(h\) |
8 W/(m\(^2\) K) |
Initial pressure |
700 bar |
Initial temperature |
20 \(^\circ\)C |
Gas |
Helium |
In HydDown the type IV pressure vessel geometry as assumed that of a flat ended cylinder, with the length adjusted to give a total inventory volume of 19 liter. In order to simulate the system a lumped heat capacity and density for the type IV cylinder is made. The thermal conductivity is set to that of the liner material, and the outer heat transfer coefficient is set to 8 W/(m\(^2\)K) as applied in the H2fills software [KNP+21]. For a type IV vessel, the application of an average value for density, heat capacity and thermal conductivity can be an acceptable approximation since the liner and composite shell material are not too dissimilar.
Figure 17 Calculations of vessel wall temperature (inner/outer) with 1D transient heat conduction during helium discharge for comparison with KIT experiments. The figure shows calculated gas and wall temperature (lines) compared to experimental gas temperature (left) and calculated and measured pressure (right).
HydDown simulations are compared with the KIT experiment in Figure Figure 17. As seen from the results the depressurisation pressure is matched very well. The experimental gas temperature is also matched fairly well. The lowest simulated gas temperature is 182.3 K and the lowest experimental temperature is 177.5 K a difference of 4.8 K. The minimum gas temperature occurs at an earlier time compared to the experimental results. The former at approx. 75 sec. and the latter at approx. 100 sec. This is also in agreement with the simulation model presented by Molkov et al. [DMM17]. The final gas temperature of the simulations is 237 K compared to the experimental value of 216 K.
Molkov et al. [DMM17] also made a thermal analysis of the thermocouple arrangement used in KIT experiment in order to estimate thermal lag in the temperature measurement. Incorporating the thermal model of the thermocouple arrangement displayed an improved prediction of the time of the minimum measured gas temperature as well as the final measured temperature.
Validation against GasTeF experiments (Type IV)
The experimental setup is described in more detail in refs. [AMdeMiguel+14, deMiguelAMC15]. Different tank types where tested both for filling and discharge including a 29 liter type IV tank and a 40 liter type III tank. In the following the type IV tank is modelled. Key details such as the initial conditions and vessel details are summarised below cf. the table. The geometry and thermal properties of the liner and composite shell material was not informed in the cited references and it is assumed to be similar to the KIT vessel described in the previous section, with the liner and composite shell thickness scaled to match the total thickness of the GasTeF type IV vessel.
Type IV tank |
|
|---|---|
External length |
827 mm |
ID |
230 mm |
OD |
279 mm |
Liner |
HDPE |
Composite shell |
G&CRPE |
Initial conditions |
|
Initial pressure |
700 bar |
Initial temperature |
25\(\pm 2^\circ\)C |
Gas |
Hydrogen |
Discharge rate |
1.8 g/s |
Note: The mass flow during discharge is constant at 1.8 g/s until the pressure drops below 5 MPa after which it drops.
The simulations with HydDown and comparison against the GasTeF experiment is shown in Figure Figure 18. The experimental setup included several thermocouples mounted in different positions inside the test vessel, both at the center line and nearer the top and bottom. The experimental setup did not include a direct measurement of the internal liner temperature interface towards the gas nor the composite shell. The experimental points for the gas temperature as shown in the figure includes the lowest measured temperatures (near the bottom), the gas temperature measured in the middle and towards the top (highest temperatures). The experiments display significant temperature stratification during discharge experiments.
Figure 18 Calculations of vessel wall temperature (inner/outer) with 1D transient heat conduction during hydrogen discharge for comparison with GasTeF experiments. The figure shows calculated gas and wall temperature (lines) compared to experimental gas temperature.
As seen the prediction of the external surface temperature of the composite shell is matched very well. The average gas temperature as calculated with HydDown matches the temperatures recorded in the lower half of the test vessel. Further, the minimum in gas temperature between 450 and 500 seconds are also matched well. The measured pressure was not reported in ref. [deMiguelAMC15]
Validation against Type III cylinder discharge experiments
As shown previously type IV cylinder thermal behaviour is matched fairly well when the liner/composite thermal material properties are lumped. For a Type III vessel which has very dissimilar thermal properties of the liner and the composite shell, this approach is not advisable. Luckily, the implemented 1D transient heat conduction code thermesh allows modelling bi-materials and this is also implemented in HydDown.
Unfortunately, it has not been possible to find reported discharge experiments which include detailed information about the exact liner and shell composite thickness. In lack of a good and complete validation cases, an example is made using the KIT cylinder in the previous section and replacing the HPDE liner with an aluminum liner.
Type III tank |
|
|---|---|
External length |
904 mm |
ID |
180 mm |
OD |
228 mm |
Aluminum liner |
|
Thickness |
7 mm |
Density |
2700 kg/m\(^3\) |
Heat capacity |
900 J/(kg K) |
Thermal conductivity |
237 W/(m K) |
CFRP shell |
|
Thickness |
17 mm |
Density |
1360 kg/m\(^3\) |
Heat capacity |
1020 J/(kg K) |
Thermal conductivity |
0.5 W/(m K) |
Initial conditions |
|
Outside \(h\) |
8 W/(m\(^2\) K) |
Initial pressure |
700 bar |
Initial temperature |
20 \(^\circ\)C |
Gas |
Helium |
Note: The mass flow during discharge is constant at 1.8 g/s until the pressure drops below 5 MPa after which it drops.
The results of HydDown simulation with the artificial type III cylinder is shown in Figure Figure 19. As seen the immediate effect of replacing the HDPE liner with aluminum (compared to Figure Figure 17) is a lower temperature drop in the gas phase and a liner temperature which approached the gas temperature very closely. This is in general agreement with the observations in ref. [deMiguelAMC15].
Figure 19 Calculations of vessel wall temperature (inner/outer) with 1D transient heat conduction during helium discharge for a hypothetical type III cylinder with dimensions similar to the KIT type IV cylinder.
In Figures the figure below and the figure below the simulated temperature across the vessel liner/composite wall is shown for the real type IV cylinder from the KIT experiment and for the artificial type III cylinder, respectively. As seen there is a significant difference between the two bi-materials. The type III cylinder has almost zero temperature gradient across the aluminum liner, which can be rationalised by the very high thermal conductivity. Thus, the entire thermal gradient is over the composite shell material. These observations are in-line with simulation results from ref. [MBAI+17].
Figure 20 Temperature through wall at different times
Figure 21 Spatial and temporal temperature contour
Calculations of type IV vessel wall temperature profile with 1D transient heat conduction. z=0 is the bonding interfance between liner and composite, z<0 is the liner and z>0 is the composite shell
Figure 22 Temperature through wall at different times
Figure 23 Spatial and temporal temperature contour
Calculations of type III vessel wall temperature profile with 1D transient heat conduction. z=0 is the bonding interfance between liner and composite, z<0 is the liner and z>0 is the composite shell
Validation against Type III cylinder filling experiments
For HydDown type III cylinder filling experimental validation, the work of Dicken and Mérida [DM07] is used. They conducted experiments of filling a 74 liter type III cylinder and also compared measurements with CFD calculations. Details of type III cylinder tested is shown in Table the table. For HydDown simulation the length of a flat-ended cylinder has been adjusted to give a total cylinder volume of 74 liter. The time-dependent filling mass flow has been sourced from ref. [DM07] and scaled in order to match the final experimental pressure.
Type III tank |
|
|---|---|
External length |
893 mm |
ID |
358 mm |
OD |
396 mm |
Aluminum liner |
|
Thickness |
4 mm |
Density |
2700 kg/m\(^3\) |
Heat capacity |
900 J/(kg K) |
Thermal conductivity |
167 W/(m K) |
CFRP shell |
|
Thickness |
15 mm |
Density |
938 kg/m\(^3\) |
Heat capacity |
1494 J/(kg K) |
Thermal conductivity |
1.0 W/(m K) |
Initial conditions |
|
Outside \(h\) |
8 W/(m\(^2\) K) |
Initial pressure |
93 bar |
Initial temperature |
20.25 \(^\circ\)C |
Gas |
H2 |
Simulation results from HydDown is compared to the experimental data of Dicken and Mérida in Figure Figure 24. As seen from the results the gas temperature calculated with HydDown is generally higher than the experimental results. The final calculated temperature is 74.2\(^\circ\)C, compared to the final measured temperature of 68.9\(^\circ\)C. The CFD calculations performed by Dicken and Mérida [DM07] was also higher than the experimental value (71.3\(^\circ\)C). Another CFD analysis of the investigated system by Hall and Ramasamy [HR24] revealed a final mean gas temperature of 71.4\(^\circ\)C, and a zero-dimensional model by the same authors gave an end temperature of 72.4\(^\circ\)C.
Figure 24 Calculations of vessel pressure, gas temperature and wall temperature (inner/outer) with 1D transient heat conduction model during hydrogen filling. Comparison is made against experimental results from Dicken and Mérida [DM07] for pressure and gas temperature. Inner wall (liner) temperature is compared to CFD simulations [DM07]
In lack of measured vessel inner wall temperature (liner) the values calculated at the end of filling by Dicken and Mérida using their CFD model is used for comparison. The CFD simulations revealed very large variations in the heat transfer coefficient and resulting wall temperatures. For comparison with HydDown the average CFD calculated temperature is used. This is taken as the arithmetric average of all seven positions from front to back of the cylinder. As seen from Figure Figure 24 the average value from HydDown (52.5\(^\circ\)C)compares very well with the average CFD results at the end of filling (52.1\(^\circ\)C). However, estimated inner wall temperature spanned temperatures from 26 to 67 \(^\circ\)C, with the highest temperatures recorded opposite to the entry of hydrogen.
Validation of fire heat load
A simulation with a steel vessel subject to fire heat load is compared against calculations performed with Honeywell Unisim Design using the built-in dynamic depressuring utility and applying a Stefan-Boltzmann heat load. In Unisim the convective part of the Stefan-Boltzmann fire heat load is set by manually specifying the external heat transfer coefficient to 100 W/m\(^2\) K and setting the ambient temperature equal to the flame temperature. The simulation in put is summarised in the table.
Parameter |
|
|---|---|
External length |
9 m |
ID |
3 m |
Shell |
|
Thickness |
136 mm |
Density |
7700 kg/m\(^3\) |
Heat capacity |
500 J/(kg K) |
Initial conditions |
|
Initial pressure |
115 bar |
Initial temperature |
25 \(^\circ\)C |
Gas |
Methane |
Heat load |
|
Fire type |
Jet fire |
Incident heat flux |
100 kW/m\(^2\) |
The results are displayed in Figure 25 and Figure 26. As seen the agreement between the two simulation codes is indeed adequate. The main difference is the intitial temperature of the steel vessel wall which is higher in Unisim. In Hyddown the vessel wall temperature is initialised at the fluid temperature, whereas in Unisim it is likely based on a steady-heat balance using the applied ambient temperature (set to equal the flame temperature for calculation purpose).
Figure 25 Calculation of vessel pressure as a function of time for a steel vessel subject to a jet fire back-gorund heat load with an incident heat flux of 100 W/m\(^2\).
Figure 26 Calculation of vessl temperature as a function of time for a steel vessel subject to a jet fire back-gorund heat load with an incident heat flux of 100 W/m\(^2\).
Validation of non-equilibrium model (NEM) against LPG fire experiments
To evaluate the non-equilibrium model (NEM) for liquefied petroleum gas (LPG) systems, HydDown predictions have been compared against two independent experimental datasets: full-scale fire engulfment tests by Moodie et al. [MCD+88] and partial engulfment rupture tests by Birk et al. [BPD06]. These cases are critical for assessing a model’s ability to predict the thermal-hydraulic response and potential for boiling liquid expanding vapour explosion (BLEVE). Further details are provided in [AS25].
Parameter |
Moodie (10.25 m\(^3\)) |
Birk (1.89 m\(^3\)) |
|---|---|---|
Wall thickness (mm) |
11.85 |
7.4 (shell) / 5.3 (head) |
Initial fill (%) |
22 |
80 |
Fluid |
Propane |
Propane |
Fire model |
Scandpower pool |
API pool peak |
Engulfment (%) |
80 |
25 |
PSV set pressure (bara) |
14.3 |
27.3 (did not open) |
Moodie et al. - Full-scale fire engulfment
The Moodie et al. experiments [MCD+88] involved a 5-tonne horizontal cylindrical propane tank (10.25 m\(^3\)) initially at 22% liquid fill and 5.5 bara, subjected to an engulfing kerosene pool fire. The NEM simulation uses a Scandpower pool fire model with 80% engulfment scaling and a PSV with set pressure of 14.3 bara. The key input parameters are:
vessel:
length: 3.5
diameter: 1.6763
orientation: "horizontal"
type: "Hemispherical"
heat_capacity: 500
density: 7700
thickness: 0.01185
liquid_level: 0.4668
initial:
temperature: 279
pressure: 550000
fluid: "propane"
calculation:
type: "energybalance"
time_step: 1
end_time: 900.
non_equilibrium: true
h_gas_liquid: "calc"
valve:
flow: "discharge"
type: "psv"
diameter: 0.03358
discharge_coef: 0.975
set_pressure: 1430000
blowdown: 0.24
back_pressure: 101300.
heat_transfer:
type: "s-b"
fire: "scandpower_pool"
scaling: 0.8
Figure 27 shows that the NEM accurately captures the pressure rise and subsequent PSV cycling. Most importantly, the model reproduces the significant thermal bifurcation between phases: while the liquid remains near saturation (below 50\(^\circ\)C), the gas heats rapidly to approximately 300\(^\circ\)C. This approximately 250\(^\circ\)C temperature difference, which is physically driven by the two-sided interfacial heat transfer (mean \(h_{gl} \approx 71\) W/(m\(^2\) K)), cannot be captured by standard equilibrium models.
Figure 27 Validation against Moodie et al. [MCD+88] propane tank fire experiments. Top: pressure and PSV cycling. Middle: gas (red) and liquid (blue) temperatures. Bottom: mass discharge. Solid lines: HydDown; circles: experimental.
Birk et al. - Partial engulfment rupture test
The Birk et al. experiments [BPD06] focused on the thermal rupture of a 500 gallon (1.89 m\(^3\)) propane tank under 25% partial fire engulfment (Test 04-6). The tank was initially at 80% liquid fill and 7.8 bara. Unlike the Moodie case, the PSV set pressure of 27.3 bara was never reached before vessel failure. The key input parameters are:
vessel:
length: 2.121
diameter: 0.953
orientation: "horizontal"
heat_capacity: 500
density: 7700
thickness: 0.0074
liquid_level: 0.71
type: "Hemispherical"
initial:
temperature: 287
pressure: 780000
fluid: "propane"
calculation:
type: "energybalance"
time_step: 1
end_time: 600.
non_equilibrium: true
h_gas_liquid: "calc_two_sided"
valve:
flow: "discharge"
type: "psv"
diameter: 0.015
discharge_coef: 0.975
set_pressure: 2730000
blowdown: 0.10
back_pressure: 101300.
heat_transfer:
type: "s-b"
fire: "scandpower_pool"
scaling: 0.25
rupture:
material: "SA455"
fire: "api_pool_peak"
k_s: 1.0
As shown in Figure 28, the simulated pressure and peak wall temperatures align closely with experimental observations, reaching 24 bar and 713\(^\circ\)C respectively at the point of failure. By coupling the peak pool fire model with temperature-dependent ultimate tensile strength (UTS) for SA-455 steel, HydDown predicts rupture at 465 s (7.8 min) — within 3% of the experimental failure time of approximately 480 s. This confirms that the model accurately captures the critical mechanism of thermal weakening before overpressure activation.
Figure 28 Validation against Birk et al. [BPD06] Test 04-6. (a) Pressure. (b) Phase temperatures. (c) Wall temperatures (average and peak). (d) Rupture analysis: stress (blue) vs. ATS (red). Failure predicted at 465 s (dotted red) vs. experimental ~480 s (dotted green).
Example use cases
LPG vessel subject to fire heat load
A vessel containing LPG (propane liquified by pressure) is subject to a back-gorund pool fire heat load. The input data are shown below and the results are shown in Figure 29. Vessel data and initial conditions have been sourced from Moodie et al. [MCD+88], where a 5 tonne horizontal cylindrical Liquefied Petroleum Gas (LPG) tank was exposed to an engulfing kerosene pool fire.
vessel:
length: 4.64
diameter: 1.7
orientation: "horizontal"
heat_capacity: 500
density: 7700
thickness: 0.01185
liquid_level: 0.4668
initial:
temperature: 279
pressure: 550000
fluid: "propane"
calculation:
type: "energybalance"
time_step: 1
end_time: 660.
valve:
flow: "discharge"
type: "psv"
diameter: 0.040
discharge_coef: 0.975
set_pressure: 1430000
blowdown: 0.20
back_pressure: 101300.
heat_transfer:
type: "s-b"
fire: "scandpower_pool"
Figure 29 LPG vessel subject to pool fire back-gorund heat load with an incident heat flux of 100 W/m\(^2\).
LPG vessel with 1-D heat transfer
The LPG fire scenario can also be simulated using the 1-D transient heat conduction model by adding the thermal_conductivity parameter to the vessel properties. This enables separate tracking of inner and outer wall temperatures for both wetted and unwetted regions:
vessel:
length: 4.64
diameter: 1.7
orientation: "horizontal"
heat_capacity: 500
density: 7700
thickness: 0.01185
thermal_conductivity: 45 # Steel thermal conductivity W/m-K
liquid_level: 0.4668
With the 1-D model, the code solves separate heat conduction equations for the wetted (liquid-contact) and unwetted (gas-contact) wall regions. This is particularly important for two-phase fire scenarios where:
The wetted region experiences higher internal heat transfer coefficients due to boiling
The unwetted region has lower heat transfer coefficients (gas convection only)
Wall temperature gradients through the thickness become significant with thin walls and high heat fluxes
For this steel vessel case with 11.85 mm wall thickness, the lumped capacitance model (\(Bi \approx 0.03\) for unwetted, \(Bi \approx 0.79\) for wetted region) gives results very close to the 1-D model. However, for thicker walls, lower thermal conductivity materials (Type III/IV vessels), or when accurate wall temperature profiles are needed, the 1-D model should be used.
Rupture estimation
The below example is a calculation where a methane filled cylindrical flat-end vessel is subject to a back-ground heat load from a jet fire. The background heat load is given by the general Stefan-Boltzmann fire equation and heat load according to the Scandpower guideline [HS04]. In addition to this for the post calculation of rupture according to the von Mises stress criterion as outlined in (see the relevant section). The discharge model is specified as relief, in this case the pressure is allowed to increase, until the relief valve set pressure is reached. From this point the pressure is kept constant and the required relief rate in order to keep the pressure constant is calculated. This method only works in case a heat load is applied.
vessel:
length: 9
diameter: 3
orientation: "vertical"
type: "Flat-end"
heat_capacity: 500
density: 7700
thickness: 0.136
initial:
temperature: 298.15
pressure: 11500000
fluid: "CH4"
calculation:
type: "energybalance"
time_step: 1
end_time: 900.
valve:
flow: "discharge"
type: "relief"
set_pressure: 13550000
back_pressure: 101300.
heat_transfer:
type: "s-b"
fire: "scandpower_pool"
rupture:
material: "CS_360LT"
fire: "scandpower_jet_peak_large"
The rupture evaluation is run as a post-processing step by running the class method analyze_rupture().
import yaml
import sys
from hyddown import HydDown
if __name__ == "__main__":
if len(sys.argv) > 1:
input_filename = sys.argv[1]
else:
input_filename = "input.yml"
with open(input_filename) as infile:
input = yaml.load(infile, Loader=yaml.FullLoader)
hdown=HydDown(input)
hdown.run()
hdown.verbose=1
hdown.plot()
hddown.analyze_rupture()
Composite cylinder subject to blowdown
vessel:
length: 0.7466
diameter: 0.18
thickness: 0.017
heat_capacity: 1020
density: 1360.
thermal_conductivity: 0.5
liner_thickness: 0.007
liner_heat_capacity: 1584
liner_density: 945.
liner_thermal_conductivity: 0.385
orientation: "horizontal"
initial:
temperature: 293.
pressure: 70000000.
fluid: "He"
calculation:
type: "energybalance"
time_step: .2
end_time: 300.
valve:
flow: "discharge"
type: "orifice"
diameter : 0.001
discharge_coef: 0.9
back_pressure: 101300.
heat_transfer:
type: "specified_h"
temp_ambient: 293.15
h_outer: 8.
h_inner: "calc"